М
Молодежь
К
Компьютеры-и-электроника
Д
Дом-и-сад
С
Стиль-и-уход-за-собой
П
Праздники-и-традиции
Т
Транспорт
П
Путешествия
С
Семейная-жизнь
Ф
Философия-и-религия
Б
Без категории
М
Мир-работы
Х
Хобби-и-рукоделие
И
Искусство-и-развлечения
В
Взаимоотношения
З
Здоровье
К
Кулинария-и-гостеприимство
Ф
Финансы-и-бизнес
П
Питомцы-и-животные
О
Образование
О
Образование-и-коммуникации
ilya1613
ilya1613
18.04.2022 16:38 •  Другие предметы

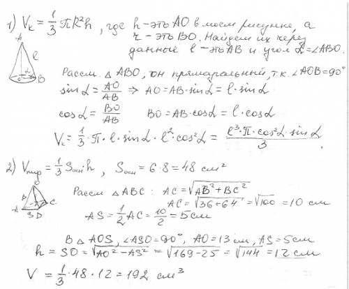
Приведите в соответствие тип олигополии и его содержание нескоординированная олигополия < тип олигополии, при которой фирмы не вступают ни в какие контакты

👇
Ответ:
kazanetov
kazanetov
18.04.2022

надеюсь, мой вариант решения Вас удовлетворит)


Приведите в соответствие тип олигополии и его содержание нескоординированная олигополия тип олигоп
4,8(29 оценок)
Открыть все ответы
Ответ:
KopolbEnufaHtuy
KopolbEnufaHtuy
18.04.2022
Улица – самое удобное, но в то же время проблемное место для знакомства с девушками. Многие дамы спешат по делам, другие кого-то ждут или прогуливаются в компании подруг. Подойти и познакомиться в этот момент решается не каждый, так как внутренне каждый парень боится услышать отказ. Для помощи новичкам в пикапе я расскажу о том, как познакомиться с девушкой на улице, первые фразы какие надо произнести для гарантии успеха.
Юноши при всей своей напускной внешней уверенности и браваде, в душе довольно робки и закомплексованы. Поэтому, превалирующее число представителей мужественной половины боится даже заговорить на улочках родного города с незнакомой барышней, поскольку опасаются услышать отказ. Поэтому, даже пересилив себя и решившись сказать пару слов понравившейся особе, сыны Адама получают отказ. Поскольку парни, в сущности, изначально были настроены на провал. Отсюда многие парни увлеклись темой: «как познакомиться с девушкой на улице, если боишься подойти». Для начала, нужно знать, с каких общих фраз начинать диалог. Дебютные слова должны быть наполнены позитивом, юмором и искриться креативом. А потому – рекомендуется избегать банальностей. Предложение: «давайте познакомимся», скорее вызовет агрессию, нежели желание пообщаться с парнем. Нужно подойти более креативно к выбору дебютной фразы.
Подходить к незнакомке лучше без резких движений, дабы не напугать девушку. Ведь современные девы в себе причудливо сочетают природную впечатлительность, боязливость с твердостью духа и решительностью. Поэтому парень, собирающийся совершить лишние чересчур резкие поползновения в сторону фемины двадцать первого века, может напороться на неожиданное противодействие и даже заработать пару ударов женской сумочкой. Отсюда главным правилом первого общения с дамами на улице является соблюдение осторожности, дружелюбия, приветливости и искренности.
Если первые мосты взаимодействия налажены, иначе говоря, если барышня не огрела сумкой парня и не сбежала с диким криком, то позволительно переключиться на выполнение следующего важного этапа – создание благоприятного впечатления.
Здесь нужно разуметь, что всякое взаимодействие начинается с первого взора незнакомки. Именно первый цепкий женский взгляд, брошенный вскользь на собеседника, является решающим – девушка либо «даст добро» на продолжение общения, либо парень получит отпор.

Если Вы не знаете как начать знакомиться в Телеграмм, то Вам следует обратить внимание на соответствующие чаты и боты.
4,4(97 оценок)
Ответ:
voborocha
voborocha
18.04.2022
1)  Нет, так как целью Англии было экономическое и политическое закабаление Китая.  
2)  Ост-Индская компания систематически захватывала Индию, превратив ее в колониальную империю.
3)   Посол просил предоставить английским купцам остров для поселения, не платить пошлины или чтобы они были небольшими.
4)  Великобритании торговля была более выгодная. Они могли получить дешевые товары сельского хозяйства, а в Китае проводить сбыт промышпенных товаров.
5)   Император Китая не хотел проникновения Англии в свое государство. Император руководствовался законами и обычаями своей империи, а также на него повлияли сведения о колонизаторской деятельности Англии в Индии.
4,4(9 оценок)
Это интересно:
Новые ответы от MOGZ: Другие предметы
logo
Вход Регистрация
Что ты хочешь узнать?
Спроси Mozg
Открыть лучший ответ