М
Молодежь
К
Компьютеры-и-электроника
Д
Дом-и-сад
С
Стиль-и-уход-за-собой
П
Праздники-и-традиции
Т
Транспорт
П
Путешествия
С
Семейная-жизнь
Ф
Философия-и-религия
Б
Без категории
М
Мир-работы
Х
Хобби-и-рукоделие
И
Искусство-и-развлечения
В
Взаимоотношения
З
Здоровье
К
Кулинария-и-гостеприимство
Ф
Финансы-и-бизнес
П
Питомцы-и-животные
О
Образование
О
Образование-и-коммуникации
BlackGolsi
BlackGolsi
06.09.2021 19:42 •  Другие предметы

Прочитайте. Определите вид односоставных предложений. В какой форме употреблён глагол, которым выражен главный член? Продолжите перечисление

👇
Ответ:
даканчик
даканчик
06.09.2021
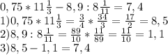
0,75 *11 \frac{1}{3} -8,9:8 \frac{1}{11} =7,4 \\ 
1)0,75 *11 \frac{1}{3}= \frac{3}{4}* \frac{34}{3} = \frac{17}{2} =8,5 \\ 
2) 8,9:8 \frac{1}{11} = \frac{89}{10} * \frac{11}{89} = \frac{11}{10}=1,1 \\ 
3)8,5-1,1=7,4 \\
4,6(74 оценок)
Ответ:
ggggggft
ggggggft
06.09.2021
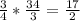
0,75= \frac{3}{4}
11 \frac{1}{3}= \frac{34}{3}
8.9= \frac{89}{10}
8 \frac{1}{11} = \frac{89}{11}
\frac{3}{4}* \frac{34}{3}= \frac{17}{2}
\frac{89}{10}: \frac{89}{11} = \frac{89}{10}* \frac{11}{89} = \frac{11}{10}
\frac{17}{2}- \frac{11}{10}= \frac{85-11}{10}= \frac{74}{10}=7.4
4,8(29 оценок)
Открыть все ответы
Ответ:
Марина19r
Марина19r
06.09.2021
Мальчиков у костра было пятеро, и каждый из них отличается голосом, манерой общения, речью. Ильюша говорит «сиплым и слабым голосом», он очень многословен и склонен к повторениям. У Павлуши «в голосе звучала сила», он четок и убедителен. Костя говорил «тонким голоском» и при этом умел описать события. Федя «с покровительствующим видом» поддерживал беседу, но сам до рассказов историй не снисходил. Не сразу услышали мы и «детский голос» Вани, которому было еще рано быть рассказчиком.

Можно очень подробно рассказывать о манере говорить Павлуши и Ильюши, которые сильно отличаются друг от друга своими речевыми характеристиками.

Павлуша говорит четко, мыслит логично, при рассказе стремится обосновать свои суждения. Он, пожалуй, один наделен чувством юмора, умением видеть комическую сторону событий, которые наблюдает.

Ильюша многословен и склонен к повторениям, он эмоционально переживает то, о чем рассказывает, и даже не пытается организовать свою речь или найти сколько-нибудь убедительные доказательства правдивости своих рассказов.

Там, где Павлуша смеется, Ильюша пугается, там, где Павлуше ясны бытовые причины событий, Ильюша все рисует в мрачном тумане таинственности.

Можно сделать вывод, что речевая характеристика помогает понять характер человека.
4,7(88 оценок)
Ответ:
Полькаа1642
Полькаа1642
06.09.2021
Мальчиков у костра было пятеро, и каждый из них отличается голосом, манерой общения, речью. Ильюша говорит «сиплым и слабым голосом», он очень многословен и склонен к повторениям. У Павлуши «в голосе звучала сила», он четок и убедителен. Костя говорил «тонким голоском» и при этом умел описать события. Федя «с покровительствующим видом» поддерживал беседу, но сам до рассказов историй не снисходил. Не сразу услышали мы и «детский голос» Вани, которому было еще рано быть рассказчиком.

Можно очень подробно рассказывать о манере говорить Павлуши и Ильюши, которые сильно отличаются друг от друга своими речевыми характеристиками.

Павлуша говорит четко, мыслит логично, при рассказе стремится обосновать свои суждения. Он, пожалуй, один наделен чувством юмора, умением видеть комическую сторону событий, которые наблюдает.

Ильюша многословен и склонен к повторениям, он эмоционально переживает то, о чем рассказывает, и даже не пытается организовать свою речь или найти сколько-нибудь убедительные доказательства правдивости своих рассказов.

Там, где Павлуша смеется, Ильюша пугается, там, где Павлуше ясны бытовые причины событий, Ильюша все рисует в мрачном тумане таинственности.

Можно сделать вывод, что речевая характеристика помогает понять характер человека.
4,5(24 оценок)
Новые ответы от MOGZ: Другие предметы
logo
Вход Регистрация
Что ты хочешь узнать?
Спроси Mozg
Открыть лучший ответ