
Дано:
Q2=0,67Q1 (Из условия - газ отдал холодильнику 67% теплоты. Где Q2 - кол-во теплоты отданной холодильнику, Q1 соответственно, кол-во теплоты, полученной от нагревателя).
T1=430 К.
T2=?
__________
Запишем для начала формулу КПД тепловой машины:
Подставим наше отношение, получим:
Получили, КПД равное 33%.
Теперь запишем формулу КПД машины Карно:
(Где T1 и T2 - температуры нагревателя и холодильника).
n (КПД) - нам известно. Выражаем T2.

Подставляем, считаем:
T2=430-0,33*430=288,1 К.
ответ: T2=288,1 К.
Задача 1
Дано:
m=40кг
h=1м80см(1.8м)
Найти:A=?
Анализ:
A=F*h
F=mg
F=40кг*10Н/кг=400Н
A=400*1.8=720Дж
ответ:А=720Дж
Задача 2
Дано:
m=12кг
h=15м
Найти:A=?
Анализ:
A=F*h
F=mg
F=12кг*10н/кг=120Н
А=120Н*15м=1800Дж
ответ: 1800Дж
Задача 3
Для задачи №3 нужна масса индивидуального человека,но в условии не был упомянут вес,поэтому, учитывая, что это программа 7 класса,я использую в качестве массы среднестатистический вес 7 классника (45 кг)
Дано:
t=1 мин
h=3 м-1этаж 9м-3 этажа )
m=45кг
N=?
Си
60сек
Анализ:
N=A/t
A=Fh
F=mg
F=45кг*10Н/кг=450Н
A=450Н*9м=4050Дж
N=4050Дж/60=67.5Вт
ответ:N=67.5 Вт
Воде бы так!
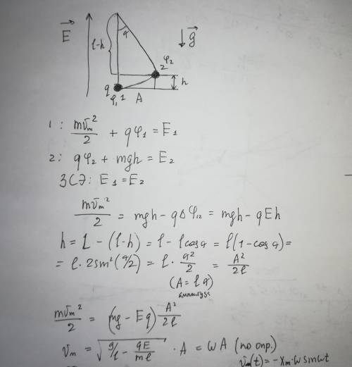
Решение на фото
Ps: sin(a) = a, потому что угол маленький