М
Молодежь
К
Компьютеры-и-электроника
Д
Дом-и-сад
С
Стиль-и-уход-за-собой
П
Праздники-и-традиции
Т
Транспорт
П
Путешествия
С
Семейная-жизнь
Ф
Философия-и-религия
Б
Без категории
М
Мир-работы
Х
Хобби-и-рукоделие
И
Искусство-и-развлечения
В
Взаимоотношения
З
Здоровье
К
Кулинария-и-гостеприимство
Ф
Финансы-и-бизнес
П
Питомцы-и-животные
О
Образование
О
Образование-и-коммуникации
DarkD0711
DarkD0711
01.05.2021 04:53 •  Физика

Вкакой точке орбиты и с какой минимальной скоростью движется комета галлея, если ее максимальная скорость 54,4 км\с,а эксцентриситет орбиты - 0,967?

👇
Ответ:
rinatabd1
rinatabd1
01.05.2021
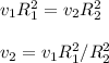
Согласно второму закону Кеплера, секторная скорость кометы Галлея есть постоянная величина, то есть

v_1R_1^2 = v_2R_2^2\\\\
v_2 = v_1R_1^2/R_2^2

Эксцентриситет в свою очередь

\varepsilon = \sqrt{1-R_1^2/R_2^2}\\
R_1^2/R_2^2 = 1-\varepsilon^2\\\\
v_2 = v_1(1-\varepsilon^2) = 3.53 \text{ km/s}
4,5(51 оценок)
Открыть все ответы
Ответ:
maga20082
maga20082
01.05.2021
Передавая телу энергию, можно перевести его из твердого состояния в жидкое (например, расплавить лед) , а из жидкого - в газообразное (превратить воду в пар) . Отнимая энергию у газа, можно получить жидкость, а из жидкости - твердое тело.
Переход вещества из твердого состояния в жидкое называют плавлением.
Чтобы расплавить тело, нужно сначала нагреть его до определенной температуры.
Температуру, при которой вещество плавится, называют температурой плавления вещества.
Одни кристаллические тела плавятся при низкой температуре, другие - при высокой. Лед, например, плавится при температуре 0'С, свинец - при 327'С, олово - при 232'С, а сталь - при 1500'С.
Переход вещества из жидкого состояния в твердое называют отвердеванием или кристаллизацией.
Чтобы началась кристаллизация расплавленного тела, оно должно остыть до определенной температуры
Температуру, при которой вещество отвердевает (кристаллизуется) , называют температурой отвердевания или кристаллизации.
Опыт показывает, что вещества отвердевают при той же температуре, при которой плавятся. Например, вода кристаллизуется (а лед плавится) при 0'С, чистое железо плавится и кристаллизуется при температуре 1539'С.
Если нагревать какое-либо кристаллическое тело, то можно заметить, что его температура будет повышаться только до момента начала плавления тела, во время процесса плавления температура тела не изменяется.

Плавление и отвердевание кристаллических тел можно объяснить на основании атомно-молекулярной теории строения вещества.
Мы знаем, что в кристаллах молекулы (или атомы) расположены в строгом порядке. Этим объясняется, что все кристаллы одного и того же вещества имеют определенную форму. Однако и в кристаллах молекулы или атомы находятся в движении. Но в отличие, например, от газов, где частицы движутся независимо друг от друга, в твердом теле каждая из частиц влияет на движение других.
От скорости движения молекул, как мы знаем, зависит температура тела. При нагревании тела средняя скорость движения молекул возрастает, - следовательно, возрастает и их средняя кинетическая энергия. Вследствие этого размах колебаний молекул (или атомов) увеличивается, при этом силы, связывающие их, уменьшаются. Когда тело нагреется до температуры плавления, размах колебаний настолько увеличится, что нарушится порядок в расположении частиц в кристаллах. Кристаллы теряют свою форму: вещество плавится, переходя из твердого состояния в жидкое.
При отвердевании вещества все происходит в обратном порядке: средняя кинетическая энергия и скорость молекул в охлажденном расплавленном веществе уменьшаются. Силы притяжения могут снова удержать медленно движущиеся молекулы друг около друга. Вследствие этого расположение частиц становится упорядоченным.
Кристаллизация облегчается, если в жидкости с самого начала присутствуют какие-нибудь посторонние частицы, например пылинки. Они становятся центрами кристаллизации. В обычных условиях в жидкости имеется множество центров кристаллизации, около которых и происходит образование кристалликов.
4,5(22 оценок)
Ответ:
RaSyL111
RaSyL111
01.05.2021
Передавая телу энергию, можно перевести его из твердого состояния в жидкое (например, расплавить лед) , а из жидкого - в газообразное (превратить воду в пар) . Отнимая энергию у газа, можно получить жидкость, а из жидкости - твердое тело.
Переход вещества из твердого состояния в жидкое называют плавлением.
Чтобы расплавить тело, нужно сначала нагреть его до определенной температуры.
Температуру, при которой вещество плавится, называют температурой плавления вещества.
Одни кристаллические тела плавятся при низкой температуре, другие - при высокой. Лед, например, плавится при температуре 0'С, свинец - при 327'С, олово - при 232'С, а сталь - при 1500'С.
Переход вещества из жидкого состояния в твердое называют отвердеванием или кристаллизацией.
Чтобы началась кристаллизация расплавленного тела, оно должно остыть до определенной температуры
Температуру, при которой вещество отвердевает (кристаллизуется) , называют температурой отвердевания или кристаллизации.
Опыт показывает, что вещества отвердевают при той же температуре, при которой плавятся. Например, вода кристаллизуется (а лед плавится) при 0'С, чистое железо плавится и кристаллизуется при температуре 1539'С.
Если нагревать какое-либо кристаллическое тело, то можно заметить, что его температура будет повышаться только до момента начала плавления тела, во время процесса плавления температура тела не изменяется.

Плавление и отвердевание кристаллических тел можно объяснить на основании атомно-молекулярной теории строения вещества.
Мы знаем, что в кристаллах молекулы (или атомы) расположены в строгом порядке. Этим объясняется, что все кристаллы одного и того же вещества имеют определенную форму. Однако и в кристаллах молекулы или атомы находятся в движении. Но в отличие, например, от газов, где частицы движутся независимо друг от друга, в твердом теле каждая из частиц влияет на движение других.
От скорости движения молекул, как мы знаем, зависит температура тела. При нагревании тела средняя скорость движения молекул возрастает, - следовательно, возрастает и их средняя кинетическая энергия. Вследствие этого размах колебаний молекул (или атомов) увеличивается, при этом силы, связывающие их, уменьшаются. Когда тело нагреется до температуры плавления, размах колебаний настолько увеличится, что нарушится порядок в расположении частиц в кристаллах. Кристаллы теряют свою форму: вещество плавится, переходя из твердого состояния в жидкое.
При отвердевании вещества все происходит в обратном порядке: средняя кинетическая энергия и скорость молекул в охлажденном расплавленном веществе уменьшаются. Силы притяжения могут снова удержать медленно движущиеся молекулы друг около друга. Вследствие этого расположение частиц становится упорядоченным.
Кристаллизация облегчается, если в жидкости с самого начала присутствуют какие-нибудь посторонние частицы, например пылинки. Они становятся центрами кристаллизации. В обычных условиях в жидкости имеется множество центров кристаллизации, около которых и происходит образование кристалликов.
4,8(16 оценок)
Новые ответы от MOGZ: Физика
logo
Вход Регистрация
Что ты хочешь узнать?
Спроси Mozg
Открыть лучший ответ