М
Молодежь
К
Компьютеры-и-электроника
Д
Дом-и-сад
С
Стиль-и-уход-за-собой
П
Праздники-и-традиции
Т
Транспорт
П
Путешествия
С
Семейная-жизнь
Ф
Философия-и-религия
Б
Без категории
М
Мир-работы
Х
Хобби-и-рукоделие
И
Искусство-и-развлечения
В
Взаимоотношения
З
Здоровье
К
Кулинария-и-гостеприимство
Ф
Финансы-и-бизнес
П
Питомцы-и-животные
О
Образование
О
Образование-и-коммуникации
somovalelyЛеля15
somovalelyЛеля15
09.04.2020 01:53 •  Физика

Решите . при исследовании неизвестной планеты,астронавты установили ,что период колебаний маятника с длиной нити l(1)=160см составляет на этой планете т(1)=2с, а период колебаний маятника с длиной нити l(2),составляет т(2)=1.5с.определите длину нити второго маятника l(2).

👇
Ответ:
hatira801
hatira801
09.04.2020
Дано
l₁=160см=1,6м
Т₁=2с
Т₂=1,5с
Найти l₂
Период колебаний математического маятника
T=2 \pi \sqrt{ \frac{l}{g} } , где g -ускорение свободног падения.
Для первого маятника уравнение запишется так:
T_1=2 \pi \sqrt{ \frac{l_1}{g} }
Найдём ускорение свободного падения на этой планете
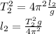
T_1^2=4 \pi^2 \frac{l_1}{g} \\ g=4 \pi^2 \frac{l_1}{T_1^2}
Теперь зпишем уравнение для второго маятника
T_2=2 \pi \sqrt{ \frac{l_2}{g} }
И выразим из него l₂
T_2^2=4 \pi^2 \frac{l_2}{g} \\ l_2=\frac {T_2^2g}{4 \pi ^2}
И подставим в него найденное значение g
l_2=\frac {T_2^2}{4 \pi ^2}*4 \pi^2 \frac{l_1}{T_1^2}=( \frac{T_2}{T_1} )^2l_1
l₂=(1,5c/2c)²*1,6м=0,75²*1,6м=0,9м=90см
4,8(2 оценок)
Открыть все ответы
Ответ:
vahovskayanp08tsj
vahovskayanp08tsj
09.04.2020
Сонячні й місячні затьмарення — найцікавіше явище природи, знайомі людині з найдавніших часів. Вони бувають порівняно часто, але видні не із всіх місцевостей земної поверхні й тому багатьом здаються рідкими. Будь-яке затьмарення відбувається тоді, коли три небесних тіла: Земля, Місяць і Сонце вибудовуються з погляду земного гача на одній умовній прямій. Якщо між Землею й Сонцем розташована Місяць, то затьмарення називається сонячним, якщо ж навпаки тінь Землі закриває від Місяця пряме сонячне світло, те це місячне затьмарення. Залежно від того, наскільки близько Місяць виявиться до вузла орбіти в годину затьмарення, вона може пройти через середину конуса тіні, і затьмарення буде максимально тривалим, а може пройти краєм тіні, і тоді ми побачимо приватне місячне затьмарення. Конус земної тіні оточений півтінню. У цю область простору попадає лише частина сонячних променів, не закрита Землею. Тому бувають напівтіньові затьмарення. Про їх теж повідомляється в астрономічних календарях, але ці затьмарення нерозрізнені для ока, тільки фотоапарат і фотометр здатні відзначити затьмарення Місяця під час напівтіньової фази або напівтіньового затьмарення. Коли ж повня трапляється далеко від вузлів місячної орбіти. Місяць проходить вище або нижче тіні й затьмарення не відбувається.
4,8(48 оценок)
Ответ:
dianashotys
dianashotys
09.04.2020
M=1,3 т=1300 кг        силу тяги находим из 2-го закона Ньютона:
s=75 м                           Fт-Fтр=ma;
t=10 c                            Fт=Fтр+ma=μmg+ma=m(μg+a);
μ=0,05                        ускорение находим из формулы:   
g=10 м/с²                     s=at²/2  ⇒  a=2s/t²=2*75/100=150/100=1,5  м/с²;
           Fт=1300(0,05*10+1,5)=1300*2=2600 H;
Eк-? Fт-?                     кинетическая энергия: Eк=mv²/2;
                                     v² находим из формулы: v²=2as;
                                          v²=2*1,5*75=225 м²/с²;
                                     Ек=1300*225/2=146250 Дж;
ответ: Ек=146250 Дж; Fт=2600 H.
4,4(43 оценок)
Это интересно:
Новые ответы от MOGZ: Физика
logo
Вход Регистрация
Что ты хочешь узнать?
Спроси Mozg
Открыть лучший ответ