М
Молодежь
К
Компьютеры-и-электроника
Д
Дом-и-сад
С
Стиль-и-уход-за-собой
П
Праздники-и-традиции
Т
Транспорт
П
Путешествия
С
Семейная-жизнь
Ф
Философия-и-религия
Б
Без категории
М
Мир-работы
Х
Хобби-и-рукоделие
И
Искусство-и-развлечения
В
Взаимоотношения
З
Здоровье
К
Кулинария-и-гостеприимство
Ф
Финансы-и-бизнес
П
Питомцы-и-животные
О
Образование
О
Образование-и-коммуникации
serenovanuria03
serenovanuria03
14.12.2022 12:55 •  Геометрия

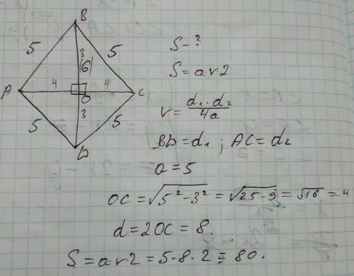
Сторона ромба равна 5, а одна из его диагоналей равна 6, найти площадь ромба.
с объяснением ​

👇
Ответ:
2Сергей5751
2Сергей5751
14.12.2022

S=80

Объяснение:

....................


Сторона ромба равна 5, а одна из его диагоналей равна 6, найти площадь ромба.с объяснением ​
4,7(67 оценок)
Открыть все ответы
Ответ:
klepekhin
klepekhin
14.12.2022

92,8 см

Объяснение:

Так как MNKL - прямоугольник, то его противоположные стороны попарно равны: MN = KL, NK = ML.

Диагонали прямоугольника равны: МК=NL.

Q, R, S и T - середины сторон прямоугольника ⇒

MQ=QN=KS=SL, NR=RK=MT=TL.

Средняя линия треугольника — отрезок, который соединяет середины двух сторон

QR - средняя линия ΔMNK, RS - средняя линия ΔNKL, TS-средняя линия ΔMKL, QT- средняя линия ΔNML.

Средняя линия параллельна третьей стороне, а ее длина равна половине длины этой стороны

QR = \frac{1}{2} * МК =  \frac{1}{2} * 46,4 = 23,2 см

TS = \frac{1}{2} * МК =  \frac{1}{2} * 46,4 = 23,2 см

RS = \frac{1}{2} * NL =  \frac{1}{2} * 46,4 = 23,2 см

QT = \frac{1}{2} * NL =  \frac{1}{2} * 46,4 = 23,2 см

Периметр четырёхугольника QRST:

Р=QR+TS+RS+QT=4*23,2=92,8 см


В прямоугольнике MNKL точки Q, R, S и T являются серединами его сторон. Чему равен периметр четырёху
4,7(24 оценок)
Ответ:
Даша6741
Даша6741
14.12.2022

1) ребро вс тетраэдра авсd перпендикулярно к плоскости авd. bc=12 в треугольнике авd угол в - прямой, угол а равен 30 градусов, ad=14. какие из следующих утверждений являются верными? 1. плоскость всd перпендикулярна к плоскости авd 2. расстояние от точки d до плоскости аbc равно 7 3. расстояние от точки a до прямой cd равно 14 4. тангенс угла между плоскостью авd и плоскостью cbd равен 0 2) ребро мс тетраэдра авсм перпендикулярно к плоскости авс, мс=12. в треугольнике авс угол с - прямой, угол а равен 30 градусов, ав=18. какие из следующих утверждений являются верными? 1. плоскость всм перпендикулярна к плоскости авс 2. расстояние от точки в до плоскости асм равно 9 3. расстояние от точки м до прямой ав равно ам 4. котангенс угла между плоскостью авс и плоскость асм равен 0,75

4,7(16 оценок)
Это интересно:
Новые ответы от MOGZ: Геометрия
logo
Вход Регистрация
Что ты хочешь узнать?
Спроси Mozg
Открыть лучший ответ