М
Молодежь
К
Компьютеры-и-электроника
Д
Дом-и-сад
С
Стиль-и-уход-за-собой
П
Праздники-и-традиции
Т
Транспорт
П
Путешествия
С
Семейная-жизнь
Ф
Философия-и-религия
Б
Без категории
М
Мир-работы
Х
Хобби-и-рукоделие
И
Искусство-и-развлечения
В
Взаимоотношения
З
Здоровье
К
Кулинария-и-гостеприимство
Ф
Финансы-и-бизнес
П
Питомцы-и-животные
О
Образование
О
Образование-и-коммуникации
nikpenkov02
nikpenkov02
25.05.2021 18:19 •  Геометрия

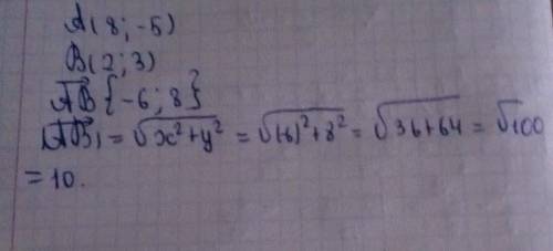
Найдите длину вектора ab, если a(8; -5), b(2; 3).

👇
Ответ:
aziko2002
aziko2002
25.05.2021

Надеюсь,что почерк понятен


Найдите длину вектора ab, если a(8; -5), b(2; 3).
4,7(66 оценок)
Ответ:
fgugjxg
fgugjxg
25.05.2021
Конечно, я помогу тебе решить эту задачу!

Для начала, нам нужно записать координаты вектора ab. Вектор ab образуется от точки a до точки b, поэтому его координаты будут:
x = x₂ - x₁
y = y₂ - y₁

Где x₁ и y₁ - координаты точки a, а x₂ и y₂ - координаты точки b.

Теперь мы можем подставить известные значения:
x = 2 - 8
y = 3 - (-5)

Выполним вычисления:
x = -6
y = 8

Теперь нам нужно найти длину вектора ab. Для этого воспользуемся формулой длины вектора:
|ab| = √(x² + y²)

Где |ab| - длина вектора ab, а x и y - его координаты.

Подставим значения x и y в формулу:
|ab| = √((-6)² + 8²)
|ab| = √(36 + 64)
|ab| = √100
|ab| = 10

Таким образом, длина вектора ab равна 10.
4,6(25 оценок)
Проверить ответ в нейросети
Это интересно:
Новые ответы от MOGZ: Геометрия
logo
Вход Регистрация
Что ты хочешь узнать?
Спроси Mozg
Открыть лучший ответ