М
Молодежь
К
Компьютеры-и-электроника
Д
Дом-и-сад
С
Стиль-и-уход-за-собой
П
Праздники-и-традиции
Т
Транспорт
П
Путешествия
С
Семейная-жизнь
Ф
Философия-и-религия
Б
Без категории
М
Мир-работы
Х
Хобби-и-рукоделие
И
Искусство-и-развлечения
В
Взаимоотношения
З
Здоровье
К
Кулинария-и-гостеприимство
Ф
Финансы-и-бизнес
П
Питомцы-и-животные
О
Образование
О
Образование-и-коммуникации
0HIMiK0
0HIMiK0
28.06.2022 16:17 •  Геометрия

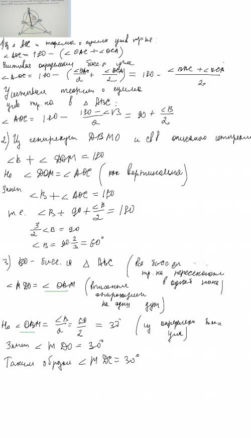
Точка O – точка перетину бісектрис AM iCD трикутника АВС. Знайдіть градусну
міру кута М DC, якщо навколо чотирикутника DBMO можна описати коло.​

👇
Ответ:
IDONTNONOTHING
IDONTNONOTHING
28.06.2022

Объяснение:

Точка O – точка перетину бісектрис AM iCD трикутника АВС


Точка O – точка перетину бісектрис AM iCD трикутника АВС. Знайдіть градуснуміру кута М DC, якщо навк
4,5(8 оценок)
Открыть все ответы
Ответ:
GoldCoin
GoldCoin
28.06.2022

1-ый признак равенства треугольников: по двум сторонам и углу между ними (Теорема 3.1. – Признак равенства треугольников по двум сторонам и углу между ними - Если две стороны и угло между ними одного треугольнгрка равны соотвественно двум сторонам и углу между ними другого треугольника, то такие треугольники равны)

Доказательство:

Пусть у треугольников АВС и А1В1С1 угол А равен углу А1, АВ равно А1В1, АС равно А1С1, докажем, что треугольники равны.

Пусть А1В2С2 – треугольник, равный АВС, с вершины В2 на луче А1В1 и вершины С2 в той же полуплоскости относительно прямой А1В1, где лежит вершина С1.

Так как А1В1 равно А1В2, то вершина В2 совпадет с В1. Так как угол В1А1С1 равен углу В2А1С2, то луч А1С2 совпадет с А1С1. Так как А1С1 равен А1С2, то С2 совпадет с С1. Значит треугольник А1В1С1 совпадает стреугольниом А1В2С2, значит равен треугльнику АВС.

Теорема доказана.

2-ой признак равенства треугольников: по стороне и прилежим к ней углам (Теорема 3.2. - Признак равенства треугольников по стороне и прилежащим к ней углам - Если сторона и прилежащие у ней углы одного треугольника равны соотвественно стороне и прилежащим к ней углам другого треугольника, то такие треугольники равны)

Доказательство:

Пусть АВС и А1В1С1 – два треугольника, у которых АВ равно А1В1, угол А равен углу А1, и угол В равен углу В1. Докажем, что они равны.

Пусть А1В2С2 – треугольник, равный АВС, с вершины В2 на луче А1В1 и вершины С2 в той же полуплоскости относительно прямой А1В1, где лежит вершина С1.

Так как А1В2 равно А1В1, то вершина В2 совпадет с В1. Так как угол В1А1С2 равен углу В1А1С1, и угол А1В1С2 равен углу А1В1С1, то луч А1С2 совпадет с А1С1, а В1С2 совпадет с В1С1. Отсюда следует, что вершина С2 совпадет с С1. Значит треугольник А1В1С1 совпадает стреугольниом А1В2С2, значит равен треугльнику АВС.

Теорема доказана.

3-ий признак равенства треугольников: по трем сторонам ( Теорема 3.6. - Признак равенства треугольников по трем сторонам - Если три стороны одного треугольника равны соответственно трем сторонам другого треугольника, то такие треугольники равны)

Доказательство:

Пусть АВС и А1В1С1 – два треугольника, у которых АВ равно А1В1, АС равно А1С1, и ВС равно В1С1. Докажем, что они равны.

Допустим, треугольники не равны. Тогда у них угол А не равен углу А1, угол В не равен углу В1, и угол С не равен углу С1. Иначе они были бы равны, по перовому признаку.

Пусть А1В1С2 – треугольник, равный треугольнику АВС, у которого Свершина С2 лежит в одной полуплоскости с вершиной С1 относительно прямой А1В1.

Пусть D – середина отрезка С1С2. Треугольники А1С1С2 и В1С1С2 – равнобедренные с общим основанием С1С2. Поэтому их медианы А1D и В1D – являются высотами, значит прямые А1D и В1D – перпендикулярны прямой С1С2. Прямые А1D и В1D не совпадают, так как точки А1, В1, D не лежат на одной прямой, но через точку D прямой С1С2 можно провести только одну перпендикулярную ей прямую. Мы пришли к противоречию.

4,7(63 оценок)
Ответ:
radmirhik2706
radmirhik2706
28.06.2022

ответ:

объяснение:

1) 2*9=18-   это две стороны по 9,   26-18=8/2=4-это другая сторона,   s=9*4=36

2)s=a*a=169,   a=13,   p=13*4=52

3) s=a*b=96,   3*b=96,   b=96/3=32,   p=2(a+b)=2(3+32)=70

4)4a=164,   a=164/4=41

6)a=x,   b=6x,   2(x+6x)=70,   7x=35,   x=5,   6x=6*5=30,   a=5,   b=30,   s(пр)=5*30=150,   s(кв)=150,   (у равновеликих фигур площади равны),

s(кв)=a^2,   a^2=150,   a=v150=v(25*6)=5v6,   p(кв)=4*5v6=20v6

7)s=a^2*v3/4=36*v3/4=9v3

4,5(20 оценок)
Это интересно:
Новые ответы от MOGZ: Геометрия
logo
Вход Регистрация
Что ты хочешь узнать?
Спроси Mozg
Открыть лучший ответ