Вход
Регистрация
Спроси Mozg AI
М
Молодежь
К
Компьютеры-и-электроника
Д
Дом-и-сад
С
Стиль-и-уход-за-собой
П
Праздники-и-традиции
Т
Транспорт
П
Путешествия
С
Семейная-жизнь
Ф
Философия-и-религия
Б
Без категории
М
Мир-работы
Х
Хобби-и-рукоделие
И
Искусство-и-развлечения
В
Взаимоотношения
З
Здоровье
К
Кулинария-и-гостеприимство
Ф
Финансы-и-бизнес
П
Питомцы-и-животные
О
Образование
О
Образование-и-коммуникации
.....больше.....
..меньше..
Кейзи
31.05.2023 10:56 •
Геометрия
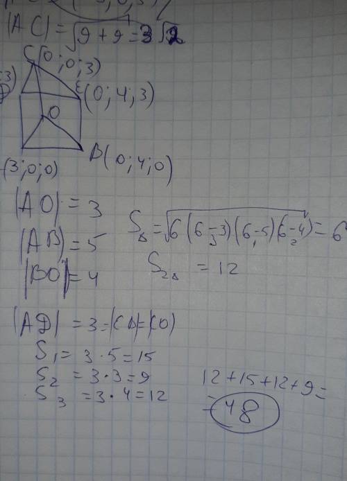
Дана треугольная призма. найдите площадь полной поверхности призмы
👇
Увидеть ответ
Ответ:
evauvanova1998
31.05.2023
дадвжвжвжвжвжыжвжыжыжвжвжж ж ж ж ж ж
4,4
(4 оценок)
Открыть все ответы
Ответ:
ilyavasyukov228
31.05.2023
Рис. прилагается
(ABCD) | | OO₁ ; ∠AOB =120° ; OO₁ =10 см ; OH ⊥AB ; OH =2 см .
S_(ABCD) -?
ABCD - прямоугольник
S_(ABCD) =AB*AD = AB* OO₁=10AB . Определим хорду AB .
∆OAB равнобедренный (OA = OB =r) , высота OH одновременно и медиана AH =BH =AB /2 и биссектриса * * * ∠AOH =(1/2)∠AOB =60°.* * *
∠ BAO= ∠ABO = (180° - ∠AOB ) /2 =90°- (1/2)∠AOB =90° -60° = 30° .
OH =OA/2 (катет против угла 30°) ⇒ OA =2*OH =2*2 см = 4 см и
AB = 2* AH = 2* √ (OA² -OH²) =2√ (4² -2²) =4√3 (см) .
* * * можно было сразу AB =2* AH = 2*OH*tq60° * * *
S_(ABCD) =10*4√3 = 40√3 (см ²) .
ответ : 40√3 см ² .
4,5
(71 оценок)
Ответ:
teddy33
31.05.2023
В треугольнике ABC площади 12 стороны AB и BC равны 5 и 6 соответственно.Найти AC и медиану BM к стороне AC.
По теореме косинусов :
AC² =AB² +BC² -2AB*BC *cosB =5² +6² -2*5*6*cosB = 61 - 60*cosB.
Определим cosB.
S = (1/2)*AB*BC*sinB ⇒ sinB =2S/(AB*BC) = 2*12 / 5*6 = 4/5,
следовательно : cosB = ± √ (1-sin²C) =± √ (1-(4/5)/² ) = ± 3/5.
a) ∠B _острый ⇒ cosB = 3/5.
AC² = 61 - 60*cosB = 61 - 60*(3/5) =25 ⇒ AC =5.
* * *AC =AB , ∆ABС - равнобедренный * * *
медиана к стороне AC:
BM=(1/2)√(2(AB² +BC²)-AC²) =(1/2)√(2(5² +6²) -5² )=(1/2)√(2(5² +6²)-5²) =
=√97 / 2 .
или
b) ∠B _тупой , т.е. cosB = - 3/5
AC² = 61 - 60*cosB =61 - 60*( -3/5) = 61 + 60*(3/5) =97 ⇒ AC =√97.
BM=(1/2)√(2(AB² +BC²) -AC²) =(1/2)√(2(5² +6²) -97)=(1/2)*5 =
=2,5.
4,5
(84 оценок)
Это интересно:
З
Здоровье
01.09.2021
Как отвлечь себя от голода: полезные советы...
К
Кулинария-и-гостеприимство
23.10.2021
Как приготовить баннок: легкий и вкусный рецепт...
К
Кулинария-и-гостеприимство
11.11.2022
Сладкий рецепт: американские панкейки с нутеллой...
К
Кулинария-и-гостеприимство
04.04.2021
Как готовить только для себя: полезные советы и рецепты...
Д
Дом-и-сад
23.11.2020
Как навести порядок в гараже: полезные советы от специалистов...
Т
Транспорт
08.01.2020
Как рассчитать первоначальный взнос за автомобиль...
О
Образование-и-коммуникации
10.06.2022
Заставьте свой мозг работать на 100%: как повысить продуктивность обучения...
З
Здоровье
01.06.2020
Сбалансированная диета: советы для тех, кто хочет оставаться здоровым и энергичным...
К
Кулинария-и-гостеприимство
13.01.2020
10 лучших советов: как запекать мясо...
К
Компьютеры-и-электроника
22.06.2020
Как подключить iPad к PS3: пошаговая инструкция...
Новые ответы от MOGZ: Геометрия
samira124
25.12.2022
В равнобедренном треугольнике боковая сторона равна 24 см а угол лежащий напротив основания равен 150°.Найдите площадь треугольника...
maxim2006c
17.01.2020
решить задачу. Найдите сторону MN, исходя из данных на чертеже...
irinkailnitska11
25.07.2022
Мbcd-прямоугольник, ма-перпендикуляр к его плоскости. найдите сторону вс, если ас=8см, ав=4см ! можно с чертежом )...
dreakalex
25.07.2022
Постройте угол aob в два раза больший некоторого угла cde...
ЛордТарнум
25.07.2022
Сколько сторон имеет правильный многоугольник, один из внешних углов которого равен 3°?...
mravals
25.07.2022
Впрямоугольном треугольнике катет и гипотенуза равны 9 и 15 соответственно. найдите другой катет этого треугольника....
ioiaaea33
08.07.2020
Ребро правильного тетраэдра равно 3 см. а1,d1,с1- средние точки. найти площадь а1 d1 с1...
Ленка111545
02.06.2021
Найдите острый угол образованный двумя секущими проведенными из точки лежащей внутри окружности если дуги заключённые между секущей равны 54 и 42...
sonicbum
07.06.2023
Найдите sina и cosb, если ас=12,св=16. в прямоугольном треугольнике авс угол с прямой. вс=26, sinb=0,7. найдите ас, ав...
AsterXML
25.10.2022
Точка к не лежащая в плоскости треугольника авс .докажите , что прямая , проходящая через середины отрезков ка и кв , параллельна одной из средних линий авс...
MOGZ ответил
Составить диктант из 20 слов с не ни...
Какие слова записаны в виде транскрипции? {л’иса́}, {сно́п}, {мо́лат }, {старажи́л...
15ц= кг 900дм= м 400см= м 16мин= с 1мин40сек= с 32м1дм= дм 6т5ц= кг 6сут18ч=часах...
Найти сумму двумя и сделать проверку с счетов 1)15728+(4967+3751+7399)=?...
Найдите производные функции а)f(х)=(4х+7)в третей степени б)у=х*tg 3х...
Вкакой стране европы к власти во франции пришли фашисты в 1927 году...
Дать определение что такое эпоха великих открытий ? !...
На 20 км пути машина расходует 31/5л горючего ск она потратит на 160 км...
Укажи одинаковый признак изменении имен существительных и глаголов времени...
Кбюджета государства относится: 1) выплата пенсий 2) выплата процентов по...
Полный доступ к MOGZ
Живи умнее Безлимитный доступ к MOGZ
Оформи подписку
О НАС
О нас
Блог
Условия пользования
Авторское право
Политика конфиденциальности
Предпочтения cookie-файлов
ПОМОЩЬ
Зарегистрируйся
Центр помощи
Центр безопасности
App
Вход
Регистрация
Что ты хочешь узнать?
Спроси Mozg
Открыть лучший ответ
×
дадвжвжвжвжвжыжвжыжыжвжвжж ж ж ж ж ж