М
Молодежь
К
Компьютеры-и-электроника
Д
Дом-и-сад
С
Стиль-и-уход-за-собой
П
Праздники-и-традиции
Т
Транспорт
П
Путешествия
С
Семейная-жизнь
Ф
Философия-и-религия
Б
Без категории
М
Мир-работы
Х
Хобби-и-рукоделие
И
Искусство-и-развлечения
В
Взаимоотношения
З
Здоровье
К
Кулинария-и-гостеприимство
Ф
Финансы-и-бизнес
П
Питомцы-и-животные
О
Образование
О
Образование-и-коммуникации
ilnitskiy
ilnitskiy
17.03.2020 13:12 •  Геометрия

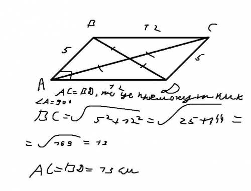
Сторони паралелограма дорівнюють 5 см і 12 см. знайдіть діагоналі паралелограма, якщо відомо, що вони рівн

👇
Ответ:
яннис1
яннис1
17.03.2020

ответ:Держи

Объяснение:


Сторони паралелограма дорівнюють 5 см і 12 см. знайдіть діагоналі паралелограма, якщо відомо, що вон
4,8(80 оценок)
Открыть все ответы
Ответ:
vasiaplaton
vasiaplaton
17.03.2020

ответ: гипотенуза =20см

Объяснение: по свойствам угла 30°, катет лежащий напротив него равен половине гипотенузы. Меньший катет будет как раз он, потому что второй острый угол будет 60°, а наибольшая сторона лежит напротив большего угла и наоборот, поэтому катет, который лежит против угла 30° и будет наименьшим. Пусть тогда он будет "х", тогда гипотенуза будет 2х. Так как в сумме они составляют 30см, составляем уравнение:

х+2х=30

3х=30

х=30÷3

х=10; меньший катет=10. Теперь найдём гипотенузу: 2×10=20см.

4,5(67 оценок)
Ответ:
NEON2006
NEON2006
17.03.2020

Пронумеруем острова.

Заметим, что на остров В нужно приходить со стороны 20 острова, так как в противном случае мы попадем на остров В, не побывав на 20 острове.

По тем же причинам на 15 остров нужно приходить со стороны 10 острова.

Далее, на 4 остров нужно приходить со стороны 3 острова.

На 7 остров нужно приходить со стороны 8 острова, иначе траектория замкнется до того момента как все острова попадут в маршрут.

На 8 остров нужно приходить со стороны 9 острова, иначе он не попадет в маршрут. С 11 острова нужно следовать в сторону 16 острова.

С 22 острова нужно следовать в сторону 23 острова, чтобы включить его в маршрут.

Далее маршрут достраивается единственным образом. С острова С необходимо двигаться на восток.

ответ: Г) на восток


На рисунке изображена карта островов с мостами между ними. Турист находится в точке А и хочет попаст
4,4(90 оценок)
Это интересно:
Новые ответы от MOGZ: Геометрия
logo
Вход Регистрация
Что ты хочешь узнать?
Спроси Mozg
Открыть лучший ответ