М
Молодежь
К
Компьютеры-и-электроника
Д
Дом-и-сад
С
Стиль-и-уход-за-собой
П
Праздники-и-традиции
Т
Транспорт
П
Путешествия
С
Семейная-жизнь
Ф
Философия-и-религия
Б
Без категории
М
Мир-работы
Х
Хобби-и-рукоделие
И
Искусство-и-развлечения
В
Взаимоотношения
З
Здоровье
К
Кулинария-и-гостеприимство
Ф
Финансы-и-бизнес
П
Питомцы-и-животные
О
Образование
О
Образование-и-коммуникации
ivan19852008
ivan19852008
23.10.2020 08:45 •  Геометрия

Дан треугольник abc и координаты вершин этого треугольника. Определи длины сторон треугольника и укажи вид треугольника. a(6;0),b(6;8) и c(3;4).
Треугольник abc:
равносторонний
разносторонний
равнобедренный​

👇
Ответ:
али419
али419
23.10.2020

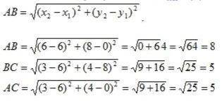
AB=8

BC=5

AC=5

Вид треугольника-равнобедренный

Объяснение:

Расстояние между двумя точками А(х1, у1) и В(х2, у2) находится по формуле:


Дан треугольник abc и координаты вершин этого треугольника. Определи длины сторон треугольника и ука
4,5(61 оценок)
Открыть все ответы
Ответ:
Пусть MO - перпендикуляр, данный по условию, а данный треугольник будет треугольником ABC. Т.к. точка M равноудалена от всех вершин треугольника, то AO=OC=OB из равенства треугольников AOM, BOM и COM(по двум сторонам). Значит O - центр описанной около треугольника ABC окружности. Значит AO=BO=CO - радиусы этой окружности. R = abc/4S, где S - площадь треугольника ABC, a,b и с - его стороны, S найдем по формуле S=√(p(p-a)(p-b)(p-c)), значит R = 24*27*29/√40*16*13*11 (расчеты производить не буду, ибо такие расчеты только под калькулятор). Треугольник AOM прямоугольный, MO = 14 по условию, AO = R, найдем AM - расстояние от M до вершины треугольника ABC. AM = √(14²+R²) = √(196+R²). Угол MAO - угол, образованный этим расстоянием с плоскостью, в которой лежит треугольник ABC. И угол MAO = arcsin(14/AM).
4,7(55 оценок)
Ответ:
FrostMorne
FrostMorne
23.10.2020
Как-то сложно сформулировано, непонятно немного. Долго пытался представить чертёж, и примерно решил, что  в условии имеется в виду, что ТМ является диаметром некой окружности, следовательно центр окружности (предположительно называемый О) находится на катете RT, ровно посерединке отрезка МТ. И при этом окружность вписана в угол TSR. Всё так?
Чертёж я по-любому рисовать не буду, ты уж как-нибудь сам.

Если всё так, то поехали. Проведём отрезок OS. Он пересечёт окружность в некой точке внутри треугольника, обозначим её буквой Х.

Смотрим теперь на два угла: ТОN и ТМN. Оба опираются на одну и ту же дугу TXN. Ещё замечаем, что ТОN является центральным углом окружности, а TMN вписанным. Следовательно TMN составляет половину от TОХ. А также видим, что отрезок SO одновременно является биссектрисой угла TSR, и бьёт точкой Х дугу TN ровно пополам. Следовательно, угол ТОХ, он же TOS равен углу TMN. 

А раз такое дело, что отрезок RT пересекает два других: SO и MN под одним и тем же углом, то указанные два отрезка SO и MN параллельны. Вот, как бы, и всё. Привет учительнице.
4,7(49 оценок)
Это интересно:
Новые ответы от MOGZ: Геометрия
Полный доступ к MOGZ
Живи умнее Безлимитный доступ к MOGZ Оформи подписку
logo
Вход Регистрация
Что ты хочешь узнать?
Спроси Mozg
Открыть лучший ответ