М
Молодежь
К
Компьютеры-и-электроника
Д
Дом-и-сад
С
Стиль-и-уход-за-собой
П
Праздники-и-традиции
Т
Транспорт
П
Путешествия
С
Семейная-жизнь
Ф
Философия-и-религия
Б
Без категории
М
Мир-работы
Х
Хобби-и-рукоделие
И
Искусство-и-развлечения
В
Взаимоотношения
З
Здоровье
К
Кулинария-и-гостеприимство
Ф
Финансы-и-бизнес
П
Питомцы-и-животные
О
Образование
О
Образование-и-коммуникации
muzaka
muzaka
25.11.2022 17:21 •  Геометрия

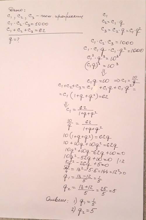
Числа с1, с2, с3 утворюють зростаючу геометричну прогресію. Відомо, що с1•с2•с3=1000, а с1+с2+с3=62. Чому дорівнює знаменник цієї прогресії?

👇
Ответ:
Puroscok009
Puroscok009
25.11.2022

1) g_1=1/5

2)g_2=5.

Найти знаменатель геом. прогрессии.


Числа с1, с2, с3 утворюють зростаючу геометричну прогресію. Відомо, що с1•с2•с3=1000, а с1+с2+с3=62.
4,7(84 оценок)
Открыть все ответы
Ответ:

  Формула объема параллелепипеда V=S•h, где Ѕ - площадь основания параллелепипеда, h - его высота. В прямом параллелепипеде боковые ребра перпендикулярны основанию, поэтому высота равна его боковому ребру.

  Диагональ основания делит его на два равных треугольника, площадь каждого, найденная по формуле Герона, равна 36 ед. площади. Площадь основания 2•36=72.  

  Площадь всей поверхности состоит из суммы площади боковой поверхности и площади двух оснований. Площадь боковой поверхности находим вычитанием из площади полной поверхности площади двух оснований. Ѕ(бок)=334-2•72=190.

 S(бок)=Р•h.  Периметр основания Р=2•(10+9)=38 ⇒ h=190:38=5 Искомый объём V=72•5=360 ( ед. объема).


Основанием прямого параллелепипеда является параллелограмм, у которого одна из диагоналей равна 17,
4,7(43 оценок)
Ответ:
Билет № 2
3. В окружность вписан треугольник ABC так, что АВ - диаметр окружности. Найдите углы треугольника, если: а) ВС=134°
АВ - диаметр - > < C=90 < A=67 (вписанный угол) < B=180-90-67=23

Билет № 3
3. Сумма двух противоположных сторон описанного четырехугольника равна 12 см. а радиус вписанной в него окружности равен 5 см. Найдите площадь четырехугольника.
Так как четырехугольник описан вокруг окружности, то сумма других сторон равна 12
S=p*r=(a+b+c+d)*r/2=24*5/2=60

Билет № 4
3. Точка касания окружности, вписанной в равнобедренный треугольник, делит одну из боковых сторон на отрезки, равные 3 см и 4 см. считая от основания. Найдите периметр треугольника.
Дан треугольник ABC. AB=BC. M - точка касания вписанной окружности стороны АВ. N - точка касания вписанной окружности стороны ВC. K - точка касания вписанной окружности стороны АC. AM=3. MB=4.
В соответствии со свойством касательных, проведенных из одной точки к окружности
AM=AK CK=CN BM=BN
P=3+3+4+4+3+3=20

\sqrt[n]{x}
4,5(19 оценок)
Это интересно:
Новые ответы от MOGZ: Геометрия
logo
Вход Регистрация
Что ты хочешь узнать?
Спроси Mozg
Открыть лучший ответ