М
Молодежь
К
Компьютеры-и-электроника
Д
Дом-и-сад
С
Стиль-и-уход-за-собой
П
Праздники-и-традиции
Т
Транспорт
П
Путешествия
С
Семейная-жизнь
Ф
Философия-и-религия
Б
Без категории
М
Мир-работы
Х
Хобби-и-рукоделие
И
Искусство-и-развлечения
В
Взаимоотношения
З
Здоровье
К
Кулинария-и-гостеприимство
Ф
Финансы-и-бизнес
П
Питомцы-и-животные
О
Образование
О
Образование-и-коммуникации
sokolovvw1
sokolovvw1
29.07.2022 14:41 •  Геометрия

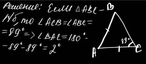
В равнобедренном треугольнике ABC, сторона BC - основание.
Найдите угол A, если известно, что

C = 89

👇
Ответ:
masha90876
masha90876
29.07.2022
ответ для этого задания 2 градуса
4,6(71 оценок)
Ответ:
Элиза12098
Элиза12098
29.07.2022

180° - сумма углов треугольника; в р/б треугольнике углы при основании равны


В равнобедренном треугольнике ABC, сторона BC - основание. Найдите угол A, если известно, что ∠ C =
4,5(72 оценок)
Открыть все ответы
Ответ:
Maciel
Maciel
29.07.2022
1. Берем цмркулем гипотенузу и делим ее пополам (надеюсь как делить пополам отрезок с циркуля и линейки не  надо рассказывать)

2. Половиной гипотенузы строим окружность.

3. Берем произвольную точку К и проводим через О луч до пересечения с окружностью L. KL будет диаметром и одновременно гипотенузой искомого треугольника.

4. Далее берем циркулем наш катет. Ставим остриё в т.К и делаем засечку на нашей окружности т.М. КМ это наш катет.

Полученный треугольник прямоугольный с искомыми катетом и гипотенузой.

Постройте прямоугольный треугольник по данному катету и гипотенузе надо
4,4(99 оценок)
Ответ:
меча
меча
29.07.2022

Углы у равнобедренной трапеции одинаковы по 45°.

Проведем из вершины трапеции две высоты на большее основание.

Расстояние между основаниями  равно меньшему основанию трапеции, то есть 25 см.

Большее основание по условию 41 см.

41-25=16 см

16:2=8 см - Сторона прямоугольного треугольника, образованного при проведении высоты.

В этом треугольнике угол 45°. значит и второй угол прямоугольного треугольника 45°. (180°-90°-45°= 45°).

Так как углы при основаниях треугольника равны, то треугольник равнобедренный.

Высота совпадает с боковой стороной и равняется тоже 8 см.

ответ: высота трапеции 8 см

4,8(28 оценок)
Это интересно:
Новые ответы от MOGZ: Геометрия
logo
Вход Регистрация
Что ты хочешь узнать?
Спроси Mozg
Открыть лучший ответ