М
Молодежь
К
Компьютеры-и-электроника
Д
Дом-и-сад
С
Стиль-и-уход-за-собой
П
Праздники-и-традиции
Т
Транспорт
П
Путешествия
С
Семейная-жизнь
Ф
Философия-и-религия
Б
Без категории
М
Мир-работы
Х
Хобби-и-рукоделие
И
Искусство-и-развлечения
В
Взаимоотношения
З
Здоровье
К
Кулинария-и-гостеприимство
Ф
Финансы-и-бизнес
П
Питомцы-и-животные
О
Образование
О
Образование-и-коммуникации
annamoz2004
annamoz2004
29.04.2023 23:32 •  Геометрия

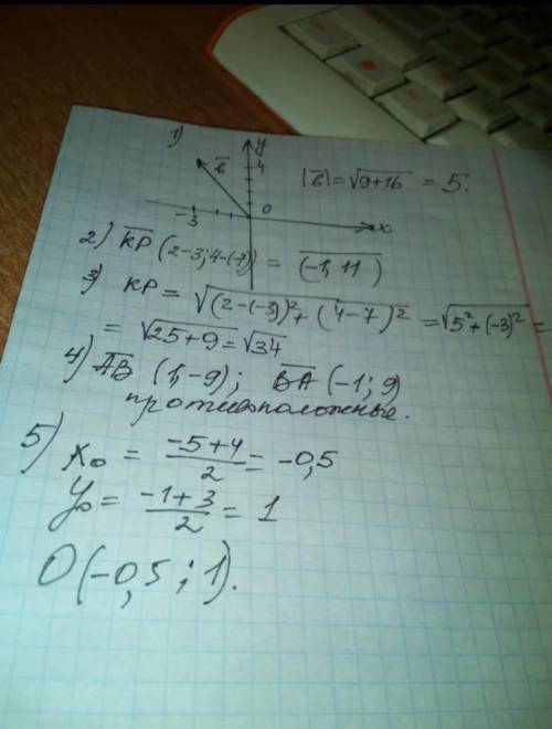
Постройте а{6;-8} и найдите длину

2.Найдите координаты вектора МС, если известны координаты точек М(-1;4)иС(5;3).

3.вектор ВС имеет координаты {3;-8}. Найдите координаты вектора СВ

👇
Ответ:
lera5252
lera5252
29.04.2023
Хорошо, давайте по очереди решим каждую задачу.

1. Построение вектора а{6;-8} и нахождение его длины:

Для построения вектора а{6;-8} мы должны начать с начала координат (0;0) и отметить точку, которая находится на горизонтальной оси 6 единиц вправо и на вертикальной оси 8 единиц вниз.

Ставим точку A(6;-8) на графике. Теперь можно посчитать длину вектора а.

Длина вектора вычисляется по формуле:

|а| = √(x^2 + y^2),

где х и у - это координаты вектора а.

Для нашего вектора а, это будет:

|а| = √(6^2 + (-8)^2) = √(36 + 64) = √100 = 10.

Таким образом, длина вектора а{6;-8} равна 10 единиц.

2. Нахождение координат вектора МС:

Для нахождения координат вектора МС мы должны вычесть соответствующие координаты точки М(-1;4) из координат точки С(5;3).

Координаты вектора МС будут:

МС(x, y) = (Сx - Мx; Сy - Мy) = (5 - (-1); 3 - 4) = (6; -1).

Таким образом, координаты вектора МС равны (6; -1).

3. Нахождение координат вектора СВ:

Для нахождения координат вектора СВ мы должны заменить знаки координат вектора ВС на противоположные.

Координаты вектора СВ будут:

СВ(x, y) = (-Вx; -Вy) = (-3; -(-8)) = (-3; 8).

Таким образом, координаты вектора СВ равны (-3; 8).
4,6(41 оценок)
Ответ:
19792001
19792001
29.04.2023

Объяснение:

вот тут даже есть и 4 и 5 (коскочеоаунпуеща3щпкг)


Постройте а{6;-8} и найдите длину2.Найдите координаты вектора МС, если известны координаты точек М(-
4,5(92 оценок)
Проверить ответ в нейросети
Новые ответы от MOGZ: Геометрия
logo
Вход Регистрация
Что ты хочешь узнать?
Спроси Mozg
Открыть лучший ответ