М
Молодежь
К
Компьютеры-и-электроника
Д
Дом-и-сад
С
Стиль-и-уход-за-собой
П
Праздники-и-традиции
Т
Транспорт
П
Путешествия
С
Семейная-жизнь
Ф
Философия-и-религия
Б
Без категории
М
Мир-работы
Х
Хобби-и-рукоделие
И
Искусство-и-развлечения
В
Взаимоотношения
З
Здоровье
К
Кулинария-и-гостеприимство
Ф
Финансы-и-бизнес
П
Питомцы-и-животные
О
Образование
О
Образование-и-коммуникации
alekslisalove
alekslisalove
15.01.2023 09:05 •  Геометрия

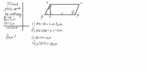
в параллелограмме ABCD угол равен 120 градусов, перпендикуляр ВК делит сторону AD на отрезки 3 и 5 см. найдите периметр параллелограмма. С ЧЕРТЕЖОМ

👇
Ответ:
aliaidi
aliaidi
15.01.2023

28 см

Объяснение:


в параллелограмме ABCD угол равен 120 градусов, перпендикуляр ВК делит сторону AD на отрезки 3 и 5 с
4,6(2 оценок)
Открыть все ответы
Ответ:
sgjisgop
sgjisgop
15.01.2023
Дано:

AC = AD; AB = AE; CE = 7 (сантиметров); AE = 3 (сантиметра).

Найти:

AB; BD.

Доказать:

△ ACE = △ ABD.

Доказательство:

По данным условиям можно сделать вывод, что задачу возможно доказать по 1 признаку равенства треугольников.

         1 треугольник           =                2 треугольник

            2 стороны               =                   2 стороны

угол между 2 сторонами   =   угол между 2 сторонами

AB = AE (по условию); AC = AD (по условию).

∠ A - общий, поэтому является равным в обоих треугольниках.

⇒ △ ACE = △ ABD (по 1 признаку равенства треугольников)

ч.т.д.

Решение:

Из "Доказательство" ⇒ BD = CE = 7 (сантиметров); AB = AE = 3 (сантиметра). (т.к. треугольники равны)

ответ: 7 сантиметров; 3 сантиметра.
Докажите равенство треугольников асе и авd, если ас=аd и ав=ае. найдите стороны ав и вd, если се=7см
4,4(71 оценок)
Ответ:
AllaStepanova85
AllaStepanova85
15.01.2023
Угол равный 60градусов будет лежать против стороны равной 5 см, т. к. этот угол меньше 90 градусов.
значит второй угол образованный этими диагоналями равен 120 гр. (т. к. вместе они образуют развернутый угол)
пусть прямоугольник будет АВСД, точка пересечения диагоналей О,
тогда в треугольнике АОВ опускаем высоту ОК, т. к. треугольник равносторонний, то ОК будет и медианой и биссектрисой
полученный угол КОА будет равен 30 гр. а отрезки ВК и АК равны по 2,5 см.
По правилу "сторона лежащая против угла в 30 гр равна половине гипотенузы"(в треугольнике АОК) следует, что гипотенуза т. е. сторона АО равна двум длинам стороны АК, т. е. АО равна 5 см.
У диагонали АС точка О является ее центром симметрии, значит АС равна 10 см
Теперь рассмотрим треугольник АСВ, в котором нам известно: АВ рана 5 см, АС = 10 см. Треугольник прямоугольный.
По теореме Пифагора сторона ВС2 = АС2(в квадрате) - АВ2. отсюда следует ВС равна 5корень из5
площадь прямоугольника равна АВ умножить на ВС, т. е. выходит S=5*5 корень из 5=25к орень из  5
4,5(23 оценок)
Это интересно:
Новые ответы от MOGZ: Геометрия
logo
Вход Регистрация
Что ты хочешь узнать?
Спроси Mozg
Открыть лучший ответ