М
Молодежь
К
Компьютеры-и-электроника
Д
Дом-и-сад
С
Стиль-и-уход-за-собой
П
Праздники-и-традиции
Т
Транспорт
П
Путешествия
С
Семейная-жизнь
Ф
Философия-и-религия
Б
Без категории
М
Мир-работы
Х
Хобби-и-рукоделие
И
Искусство-и-развлечения
В
Взаимоотношения
З
Здоровье
К
Кулинария-и-гостеприимство
Ф
Финансы-и-бизнес
П
Питомцы-и-животные
О
Образование
О
Образование-и-коммуникации
DGOTVK
DGOTVK
17.07.2022 07:55 •  Геометрия

Втреугольнике abc угол c равен 90 ch высота ab 34 tga 3/5 найдите bh

👇
Ответ:
глеб380
глеб380
17.07.2022

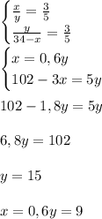
Не знаю, может есть какой другой решения, но "побочным эффектом" моего решения будет нахождение высоты СН.

Обозначим ВН=Х

СН=У

АН=(34-Х)

Помним, что: Тангенсом угла называется отношение противолежащего катета к прилежащему, и составляем систему уравнений:

 

\begin{cases} \frac{x}{y}=\frac{3}{5}\\\frac{y}{34-x}=\frac{3}{5}\\\end{cases}\\\\ \begin{cases} x=0,6y\\102-3x=5y \end{cases}\\\\102-1,8y=5y\\\\6,8y=102\\\\y=15\\\\x=0,6y=9

 

ответ: ВН=9

 

Ну и, как "Лучшее решение" не забудь отметить, ОК?!... ;)))

4,6(10 оценок)
Открыть все ответы
Ответ:
Dayun3212
Dayun3212
17.07.2022

а) Найдите смежные углы, если один из них на 30° больше другого.

Пускай a° - меньший смежный угол, тогда (a+30)° - больший. Их сумма равна 180°, поэтому имеем уравнение: a+a+30=180, 2a=150, a=75.

Итак 75° - меньший из смежных углов, (75+30)°=105° - больший.

б) Найдите смежные углы, если их отношение равно 4:5.

Пускай 4a° - меньший смежный угол, тогда 5a° - больший. Их сумма равна 180°, поэтому имеем уравнение: 4a+5a=180, 9a=180, a=20.

Итак, 4*20°=80° - меньший из смежных углов, 5*20°=100° - больший.

в) Даны смежные углы y и x, найдите их, если известно, что 2x=3y.

Если 2x=3y, то x=1,5y.

x+y=180° (так как они смежные),

1,5y+y=180,

2,5y=180,

y=72.

Тогда x=1,5*72°=108°.

4,4(3 оценок)
Ответ:
880055553555
880055553555
17.07.2022

1)треугольники alk=amn ( по 3 сторонам ak=an ( в равнобедренном треугольнике),al=am ( а- середина стороны), lm=mn ( противоположные стороны в параллелограмме это значит, что углы kla=nma, но в  параллелограмме противоположные углы также равны, значит  kla=nma=lkn=mnk. в параллелограмме сумма углов равна 360 градусов. из этого следует, что 360/4=90.

значит  kla=nma=lkn=mnk=90 градусам, значит наш  параллелограмм - прямоугольник.

2)

так как ромб - это симметричная фигура

следует, что относительно диагоналей ac и вd происходит симметрия =>

∆ abc = ∆ авсd

из первого пункта было сказано, что epkt является прямоугольником

значит, прямоугольник epkt симметрично накладывается на четырёхугольник meth, которые вследствие симметричности является также прямоугольником. а значит, весь четырехугольник мрkh является прямоугольником.

для точности докажем, что точки р и м, к и н симметричны относительно диагонали ас

∆ аре = ∆ аем - по катету и острому углу ( угол вас = угол саd - по свойству ромба ; ае - общая сторона )

значит, ав=сд

4,8(27 оценок)
Это интересно:
Новые ответы от MOGZ: Геометрия
logo
Вход Регистрация
Что ты хочешь узнать?
Спроси Mozg
Открыть лучший ответ