
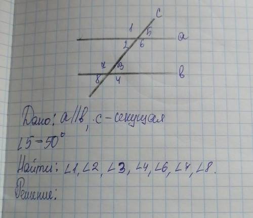
ответ:Если < 5=50 градусов,то 50 градусов равны и углы:<2,<3,<8, т к <5 и <8,а также < 2 и <3,являются накрест лежащие и равны между собой,а ещё о них можно сказать,что они вертикальные и равны между собой
Углы 2 и 7,а также 6 и 3, являются односторонними,их сумма равна 180 градусов
Угол 2 равен 50,тогда угол 7 равен
180-50=130 градусов
Угол 3 равен 50,тогда угол 6 равен
180-50=130 градусов
Углы 1 и 2 смежные,их сумма равна 180 градусов,угол 2 равен 50 градусов,тогда угол 1 равен
180-50=130 градусов
Угол 4 и 7 вертикальные,угол 7 равен 130 градусов,следовательно и угол 4 тоже равен 130 градусов
Объяснение:
<1=130 <2=50 <4=130 <6130 <7=130 <8=50