М
Молодежь
К
Компьютеры-и-электроника
Д
Дом-и-сад
С
Стиль-и-уход-за-собой
П
Праздники-и-традиции
Т
Транспорт
П
Путешествия
С
Семейная-жизнь
Ф
Философия-и-религия
Б
Без категории
М
Мир-работы
Х
Хобби-и-рукоделие
И
Искусство-и-развлечения
В
Взаимоотношения
З
Здоровье
К
Кулинария-и-гостеприимство
Ф
Финансы-и-бизнес
П
Питомцы-и-животные
О
Образование
О
Образование-и-коммуникации
rahbfwBbdqbqdI
rahbfwBbdqbqdI
18.04.2021 11:40 •  Геометрия

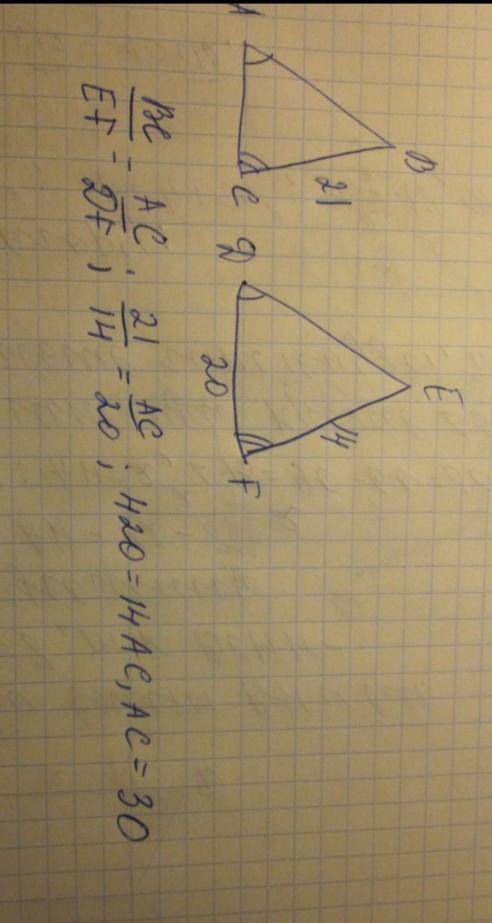
см, DF = 20 см, ВС = 21см. Найдите АС​

👇
Ответ:
nikitkaandreev1
nikitkaandreev1
18.04.2021

Всё написанно в фотографии


см, DF = 20 см, ВС = 21см. Найдите АС​
4,6(4 оценок)
Открыть все ответы
Ответ:
Lero4ka222
Lero4ka222
18.04.2021

1)наидите углы которые образуют диагонали ромба с его сторонами если один из углов равен 45 градусов

пусть <В=45 град

тогда противоположнве углв попарно равны <D=<B=45

сумма односторонних углов = 180 град

<A+<B=180 , тогда <A=180-45=135, тогда <C=<A=135

диагонали ромба являются бисектриссами углов ромба, т е делят их пополам

<A /2=135/2=67,5 град = 67 град 30 мин

<C  - также как А

<B/2 = 45/2=22,5 град = 22 град 30 мин

<D - также как В

 

2)наидите периметр ромба ABCD ,если <B=60градусов.AC=10.5см

у ромба все стороны равны

значит АВ=ВС

значит треуг АВС - равнобедренный (углы приосновании АС равны)

Тогда <A = <C = (180-<B)/2=(180-60)/2=60

то есть треугольник к тому же правильный 

углы все 60 град -- а знчит и стороны все равны

АВ=ВС=АС=10.5см

у ромба все стороны равны

АВ=ВС=АС=10.5см=AD=DC

Периметр  p=4*10.5=42см

4,6(29 оценок)
Ответ:
alina3013
alina3013
18.04.2021

1)наидите углы которые образуют диагонали ромба с его сторонами если один из углов равен 45 градусов

пусть <В=45 град

тогда противоположнве углв попарно равны <D=<B=45

сумма односторонних углов = 180 град

<A+<B=180 , тогда <A=180-45=135, тогда <C=<A=135

диагонали ромба являются бисектриссами углов ромба, т е делят их пополам

<A /2=135/2=67,5 град = 67 град 30 мин

<C  - также как А

<B/2 = 45/2=22,5 град = 22 град 30 мин

<D - также как В


2)наидите периметр ромба ABCD ,если <B=60градусов.AC=10.5см

у ромба все стороны равны

значит АВ=ВС

значит треуг АВС - равнобедренный (углы приосновании АС равны)

Тогда <A = <C = (180-<B)/2=(180-60)/2=60

то есть треугольник к тому же правильный 

углы все 60 град -- а знчит и стороны все равны

АВ=ВС=АС=10.5см

у ромба все стороны равны

АВ=ВС=АС=10.5см=AD=DC

Периметр  p=4*10.5=42см


Наидите углы которые образуют диагонали ромба с его сторонами если один из углов равен 45 градусов
4,6(61 оценок)
Это интересно:
Новые ответы от MOGZ: Геометрия
logo
Вход Регистрация
Что ты хочешь узнать?
Спроси Mozg
Открыть лучший ответ