М
Молодежь
К
Компьютеры-и-электроника
Д
Дом-и-сад
С
Стиль-и-уход-за-собой
П
Праздники-и-традиции
Т
Транспорт
П
Путешествия
С
Семейная-жизнь
Ф
Философия-и-религия
Б
Без категории
М
Мир-работы
Х
Хобби-и-рукоделие
И
Искусство-и-развлечения
В
Взаимоотношения
З
Здоровье
К
Кулинария-и-гостеприимство
Ф
Финансы-и-бизнес
П
Питомцы-и-животные
О
Образование
О
Образование-и-коммуникации
ПУШОК234
ПУШОК234
19.01.2021 15:42 •  Геометрия

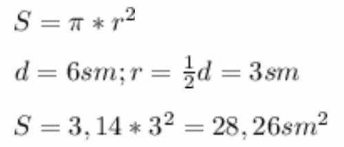
Діамитр кола 6 см. знайдіть площу круга

👇
Ответ:
shepa174
shepa174
19.01.2021
Площадь круга 28,26 см².
Діамитр кола 6 см. знайдіть площу круга
4,6(14 оценок)
Открыть все ответы
Ответ:

Объяснение:№1

а) АВ║А₁В₁   б) ВС║ А₁Д₁   в)СС₁ ∩ В₁С₁   г) АД и СС₁-скрещивающиеся   д) Д₁С₁ и ВВ₁-скрещ-ся  

е) А₁С ∩ ВД₁

№2 а) т.к. АВСД параллелограмм, то ДС║Ав, но АВ∈ (АВМ), значит по Признаку параллельности прямой и плоскости. (Если прямая,

не лежащая в плоскости, параллельна прямой, лежащей в этой

плоскости, то она параллельна данной плоскости.) ⇒ДС║пл (АВМ)

ч.т.д.

б) ВС и АМ не лежат в одной плоскости

Если одна из двух прямых (у нас АМ) лежит в некоторой плоскости (АВМ), а другая прямая  (ВС) пересекает эту плоскость в точке (В), не лежащей на первой прямой, то эти прямые скрещивающиеся (не лежат в одной плоскости).  Ч.Т.Д.

№3В треугольнике АСЕ МР-средняя линия, в треугольнике ВСЕ NP-средняя линия,, в треугольнике АВЕ MN-средняя линия, ⇒ MP║FC, NP║BC,  MN║ AB/  

Но МР∪NP,  AC∪BC,  но если 2 пересекающиеся прямые одной плоскости соотв параллельны двум пересекающимся прямым другой плоскости, то такие пл-ти параллельны.  чтд.

№4 1) провести ЕF  2) провести EQ   3)Из точки Q провести прямую║ЕF, обозначить точку пересечения К   4) Точку К соединить с F    Cечение KFEQ

4,6(65 оценок)
Ответ:

Боковая сторона равнобедренного треугольника равна 10 см, а его основание 12 см. Найдите его площадь.

Биссектриса угла А параллелограмма ABCD делит сторону ВС на отрезки ВК и КС, равные соответственно 8 см и 4 см. Найдите периметр параллелограмма.

В трапеции ABCD углы А и В прямые. Диагональ АС — биссектриса угла А и равна 6 см. Найдите площадь трапеции, если угол CDA равен 60°.

В окружности проведены две хорды АВ и CD, пересекающиеся в точке К, КС = 6 см, АК = 8 см, ВК + DK = 16 см. Найдите длины ВК и DK.

Квадрат со стороной 8 см описан около окружности. Найдите площадь прямоугольного треугольника с острым углом 30°, вписанного в данную окружность.

4,5(71 оценок)
Это интересно:
Новые ответы от MOGZ: Геометрия
logo
Вход Регистрация
Что ты хочешь узнать?
Спроси Mozg
Открыть лучший ответ