М
Молодежь
К
Компьютеры-и-электроника
Д
Дом-и-сад
С
Стиль-и-уход-за-собой
П
Праздники-и-традиции
Т
Транспорт
П
Путешествия
С
Семейная-жизнь
Ф
Философия-и-религия
Б
Без категории
М
Мир-работы
Х
Хобби-и-рукоделие
И
Искусство-и-развлечения
В
Взаимоотношения
З
Здоровье
К
Кулинария-и-гостеприимство
Ф
Финансы-и-бизнес
П
Питомцы-и-животные
О
Образование
О
Образование-и-коммуникации
gamezarif
gamezarif
20.03.2023 22:33 •  Геометрия

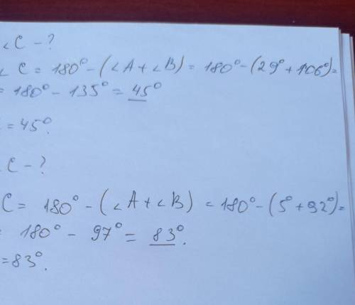
Знайдіть третій кут трикутника, якщо два його кути дорівнюють: 1) 29° і 106°; 2) 5° і 92°.

👇
Ответ:
dayn915
dayn915
20.03.2023

Объяснение:

Сума кутів трикутника дорівнює 180 градусів.


Знайдіть третій кут трикутника, якщо два його кути дорівнюють: 1) 29° і 106°; 2) 5° і 92°.
Знайдіть третій кут трикутника, якщо два його кути дорівнюють: 1) 29° і 106°; 2) 5° і 92°.
4,8(51 оценок)
Открыть все ответы
Ответ:
DimaKot2
DimaKot2
20.03.2023

Высота прямоугольного треугольника, опущенная на гипотенузу, равна среднему геометрическому проекций катетов на гипотенузу(или среднему геометрическому тех отрезков на которые высота разбивает гипотенузу).

Можно также использовать ещё одно свойство высоты из прямого угла.

В прямоугольном треугольнике высота, проведенная из вершины прямого угла, разбивает его на два треугольника, подобные исходному.

Если высоту обозначить х, то из подобия треугольников составляем пропорцию: х/4 = 9/х,  х² = 36, х = 6 см.

4,6(8 оценок)
Ответ:
Artem20032003
Artem20032003
20.03.2023
1
Пирамида правильная,значит в основании равносторонний треугольник со стороной 8.Высота конуса S0=2√3см
Точка О делит высоту AH треугольника в отношениии 2:1 начиная от вершины А
AH=AB*sin<B=8*√3/2=4√3см
AO=2/3*AH=2/3*4√3=8√3/3см
ΔASO прямоугольный
AS-боковое ребро пирамиды и образующая конуса
tg<SAO=SO/AO=2√3:8√3/3=2√3*3/8√3=0,75
<SAO=arctg0,75≈37гр
2
Рассмотрим треугольник лежащий в основании пирамиды
АС²=АВ²+ВС²
5²=3²+4²
25=9+16
25=25
Следовательно треугольник прямоугольный и гипотенуза является диаметром основания конуса.Значит радиус равен R=5:2=2,5см
3
Диаметр конуса будет равен 2 радиусам окружности описанной около треугольника,лежащего в основании пирамиды
R=AB*BC*AC/4S
Площадь найдем по формуле Герона
S=√p(p-AB)(p-BC)(p-AC),p=(AB+BC+AC)/2
p=(5+6+7)/2=9
S=√9*4*3*2)=3*2*√6=6√6
R=5*6*7/(4*6√6)=35√6/24
Диаметр равен 35√6/12
4,4(47 оценок)
Это интересно:
Новые ответы от MOGZ: Геометрия
logo
Вход Регистрация
Что ты хочешь узнать?
Спроси Mozg
Открыть лучший ответ