М
Молодежь
К
Компьютеры-и-электроника
Д
Дом-и-сад
С
Стиль-и-уход-за-собой
П
Праздники-и-традиции
Т
Транспорт
П
Путешествия
С
Семейная-жизнь
Ф
Философия-и-религия
Б
Без категории
М
Мир-работы
Х
Хобби-и-рукоделие
И
Искусство-и-развлечения
В
Взаимоотношения
З
Здоровье
К
Кулинария-и-гостеприимство
Ф
Финансы-и-бизнес
П
Питомцы-и-животные
О
Образование
О
Образование-и-коммуникации
igordergaysov
igordergaysov
31.03.2023 00:33 •  Геометрия

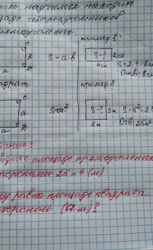
Найдите площадь прямоугольника со сторонами 25 и 4 (м)? чему площадь равна площадь квадрата со сторонами ( а м )?​


Найдите площадь прямоугольника со сторонами 25 и 4 (м)? чему площадь равна площадь квадрата со сторо

👇
Ответ:
trofimovakarina1
trofimovakarina1
31.03.2023

1.

25*4=100 м²

2.

S=a² (м²)

4,6(30 оценок)
Открыть все ответы
Ответ:
verachistova1
verachistova1
31.03.2023
Шаг 1. Поставить острие циркуля в вершину угла и на обоих лучах угла отложить равные отрезки (сделать засечки) . Шаг 2. Не меняя раствора циркуля поставить поочередно острие циркуля на засечки, сделанные в шаге 1, и провести дуги, так, чтобы они пересеклись. Шаг 3. Точку пересечения дуг соединить с вершиной угла. Это и будет биссектриса. Объяснение. Если соединить засечки, сделанные на шаге 1 с точкой пересечения дуг, то получится ромб. Диагональ ромба является биссектрисой его противоположных углов.
4,4(80 оценок)
Ответ:
Avetodor
Avetodor
31.03.2023
По свойствам углов параллелограма угол ВАД= углу ВСД и равен 30.
Сумма углов параллелограмма, прилежащих к одной стороне, равна 180º, значит ВСД+СДА=180, СДА=180-30=150. Теперь находим угол ВДА=150-75(угол ВДС=75, из дано), значит угол ВДА=75
И угол АВД тоже равен 75, так как 180-30-75=75. Значит треугольник АВД и треугольник ВСД равнобедренный с боковыми сторонами АВ и АД, ВСи СД. Сумма длин сторон АВ и АД равна половине периметра, а он равен 40 см., также мы уже знаем, что эти стороны равны, значит АВ=АД=40/2/2=10 см
ответ: все стороны параллелограмма  по 10 см, а углы 30,150,30,150
4,4(62 оценок)
Новые ответы от MOGZ: Геометрия
logo
Вход Регистрация
Что ты хочешь узнать?
Спроси Mozg
Открыть лучший ответ