Площадь трапеции равна произведению её высоты на полусумму оснований ( среднюю линию).
Обозначим трапецию АВСD, высоту - ВН. Тогда АН=4, DH=9
Высота равнобедренной трапеции делит основание на отрезки, меньший из которых равен полуразности оснований, больший – их полусумме. ⇒
S=BH•HD
Треугольник АВD- прямоугольный.
Его высота – общая с высотой трапеции.
Высота прямоугольного треугольника, проведенная из прямого угла - среднее пропорциональное между отрезками, на которые она делит гипотенузу.
ВН²=АН•DH=4•9=36
BH=√36=6
S(трап)=6•9=54.
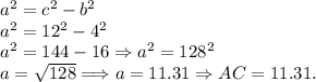
Мы знаем катет CB, и гипотенузу AB.
Чтобы найти второй катет AC — используем теорему Пифагора:
Вывод: AC = 11.31.