М
Молодежь
К
Компьютеры-и-электроника
Д
Дом-и-сад
С
Стиль-и-уход-за-собой
П
Праздники-и-традиции
Т
Транспорт
П
Путешествия
С
Семейная-жизнь
Ф
Философия-и-религия
Б
Без категории
М
Мир-работы
Х
Хобби-и-рукоделие
И
Искусство-и-развлечения
В
Взаимоотношения
З
Здоровье
К
Кулинария-и-гостеприимство
Ф
Финансы-и-бизнес
П
Питомцы-и-животные
О
Образование
О
Образование-и-коммуникации
Anasteisha130100
Anasteisha130100
15.09.2022 05:49 •  Геометрия

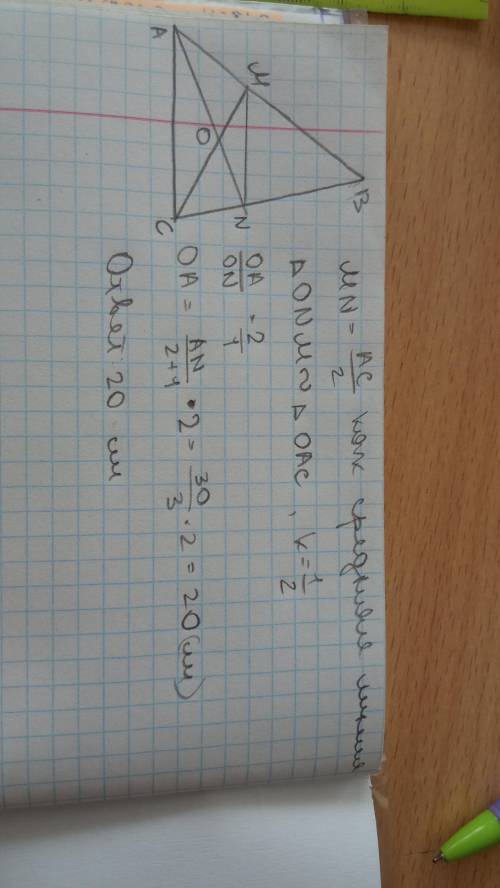
Точки M и N являются серединами сторон AB и BC треугольника ABC соответственно. Отрезки AN и CM пересекаются в точке O, AN=30, CM=9. Найдите AO.​

👇
Ответ:
Лиана891
Лиана891
15.09.2022

ответ:30см

Объяснение:

Объяснение в закрепе


Точки M и N являются серединами сторон AB и BC треугольника ABC соответственно. Отрезки AN и CM пере
4,4(11 оценок)
Открыть все ответы
Ответ:
Анндрейй
Анндрейй
15.09.2022
Не трудно убедится, что B1 и C1 являются центрами вневписанных окружностей треугольников AA1Bи AA1C, значит A1B1 и A1C1 биссектрисы смежных углов BA1A и CA1A. Отсюда следует, что ∠B1A1C1=900. По условию две стороны этого прямоугольного треугольника равни 4 и 5, значит этот треугольник не может быть равнобоким треугольником.Отсюда следует что AB≠AC. Обозначим ∠ACB=γ,∠ABC=β. Пусть AC>AB⇒γ<β.Заметим, что 300<β<600⇒150<β2<300⇒ 2−3√<tgβ2<3√3∠AA1B=600+γ,∠AA1C=600+β⇒∠AA1C1=∠BA1C1=300+γ2,∠AA1B1=∠CA1B1=300+β2.∠A1B1A=900−β2,∠A1C1A=900−γ2.Согласно теореме синусов из треугольников A1B1A и A1C1A,получаем A1B1=AA13√2cosβ2,A1C1=AA13√2cosγ2. Ясно, что A1B1>A1C1. Отсюда A1B1cosβ2=A1C1cosγ2⇒A1B1cosβ2=A1C1cos(300−β2)⇒tgβ2=2A1B1−3√A1C1A1C11) Если A1B1=4,A1C1=3, то tgβ2=8−33√3>3√32) Если A1B1=5,A1C1=4, то tgβ2=10−43√4>3√3
4,6(23 оценок)
Ответ:
полина90602
полина90602
15.09.2022
Рассмотрим четырехугольник aclk. Здесь ac II kl по условию, а отрезки cl и ak лежат на продолжении параллельных сторон параллелограмма abcd. Значит cl II ak. Четырехугольник, у которого противоположные стороны попарно параллельны - параллелограмм. Значит, aclk - параллелограмм.Зная, что в параллелограмме противоположные стороны равны, запишем:
ac=kl.
Рассмотрим четырехугольник eacf. Здесь ef II ac по условию, а отрезки ea и fc лежат на продолжении параллельных сторон параллелограмма abcd. Значит ea II fc. Противоположные стороны попарно параллельны, значит, eacf - параллелограмм также. Противоположные стороны параллелограмма равны:
ac=ef.
Но выше мы вывели, что ac=kl, значит kl=ef.
ek=ef+fk,
fl=kl+fk
Зная, что  kl=ef, получаем ek=fl
Решить вне параллелограмма abcd проведена прямая параллельная диагонали ac и пересекающая продолжени
4,5(88 оценок)
Это интересно:
Новые ответы от MOGZ: Геометрия
logo
Вход Регистрация
Что ты хочешь узнать?
Спроси Mozg
Открыть лучший ответ