М
Молодежь
К
Компьютеры-и-электроника
Д
Дом-и-сад
С
Стиль-и-уход-за-собой
П
Праздники-и-традиции
Т
Транспорт
П
Путешествия
С
Семейная-жизнь
Ф
Философия-и-религия
Б
Без категории
М
Мир-работы
Х
Хобби-и-рукоделие
И
Искусство-и-развлечения
В
Взаимоотношения
З
Здоровье
К
Кулинария-и-гостеприимство
Ф
Финансы-и-бизнес
П
Питомцы-и-животные
О
Образование
О
Образование-и-коммуникации
elensarkisian
elensarkisian
31.01.2023 20:44 •  Геометрия

Периметр равнобедренного треугольника 35 см, одна из его сторон относитсч к другой как 1: 3, найдите стороны треугольника ! ?

👇
Ответ:
thankay
thankay
31.01.2023

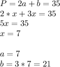
Периметр равнобедренного треугольника=\

P=2a+b

одна из его сторон относятся к другой как 1:3, это значит что:

a=x

b=3x

подставляем в периметр

P=2a+b=35\\2*x+3x=35\\5x=35\\x=7\\\\a=7\\b=3*7=21

a - боковая сторона

b - основание

4,7(58 оценок)
Ответ:
askerovaa1
askerovaa1
31.01.2023

1 сторона =x 2 сторона x+3x=35 4x=35 x=35÷4 x=8.75 3x=26.25 ответ 8.75 см 8.75 см 26. 25 см

Объяснение:

4,6(48 оценок)
Открыть все ответы
Ответ:
Шурочек
Шурочек
31.01.2023
По-горизонтали: 2. певучий и виртуозный деревянный духовой инструмент симфонического оркестра с диапазоном от ре малой октавы до ля (си бемоль) третьей октавы.3. инструмент, изготовлением которого прославились мастера амати, гварнери, страдивари.7. самый низкий деревянный духовой инструмент симфонического оркестра.8. ударный инструмент.10. деревянный духовой инструмент, хорошо мечтательное, задумчивое настроение.13. музыкальный инструмент, охватывающий практически полный диапазон симфонического оркестра.14. самый высокий медный духовой инструмент симфонического оркестра.15. один из струнных смычковых музыкальных инструментов.по-вертикали: 1. самый высокий деревянный духовой инструмент симфонического оркестра.4. самый низкий струнный смычковый инструмент симфонического оркестра.5. струнный инструмент, густым и певучим тембром. этому инструменту часто предназначены выразительные соло в оркестре.6. медный духовой инструмент, предком которого был охотничий горн. часто исполняет в оркестре аккомпанирующую партию.8. медный духовой инструмент с выдвижной кулисой.9. ударный инструмент с настраиваемой высотой звучания, в форме нескольких котлов, обтянутых сверху кожей.11. самый крупный медный духовой инструмент.12. один из самых древних струнных инструментов. вошел в состав симфонического оркестра в 19 веке.ответыпо-горизонтали: 2.кларнет. 3.скрипка. 7.фагот. 8.тарелки. 10.гобой. 13.фортепиано. 14.труба. 15.альт.по-вертикали: 1.флейта. 4.контрабас. 5.виолончель. 6.валторна. 8.тромбон. 9.литавры. 11.туба. 12.арфа.
4,6(45 оценок)
Ответ:
AliceКрошка
AliceКрошка
31.01.2023
Пусть угол А - х, тогда угол B - тоже х, а угол Bad = x/2 рассмотрим треугольник АДБ - угол Б равен 180 градусов -( 110 градусов + x/2) рассмотрим треугольник АБС угол Б равен 180 - 2х потом вычитаем из первого уравнения второе, в правой части у нас ноль (углы Б сократились) в левой части 2x-110-x/2 иксы в правую часть градусы в левую часть переносим итого у нас получается 1,5х=110 градусов x=углу А= углу С= 73 и 1/3 градусов (в ответе переведи в десятичные 73,33) Угол б равен 180 градусов минус 2х = 33 и 1/3 градуса (33.33)
4,5(54 оценок)
Новые ответы от MOGZ: Геометрия
logo
Вход Регистрация
Что ты хочешь узнать?
Спроси Mozg
Открыть лучший ответ