
в условии ошибка, нужно так:
m не делится на n и имеет от деления на n тот же остаток
решение:
a,b - натуральные числа (целые части от деления)
r -остаток от деления
m=na+r
m+n=(m-n)b+r
m+n-r=(m-n)b
n+m-r делится на n и m-nесли m< =2n, тоn< n+m-r< 3n, следовательно оно равно 2nтогда m-n=r и при делении на него не может быть остатка r.значит m> 2nтогда n+m-r< 3(m-n), т.к. 4n< 2mзначит n+m-r=2(m-n), т.к. m-n на n по условию не делится.отсюда m=3n-r, m+n-r=4n-2r делится на n, отсюда r=n/2.значит m=5k, n=2k
m: n=5: 2
[ч у д о в и й ж о в т и й к о л і р п о д е к у д и н а к і н ц я х х м а р о к л и с н и т ' т о ж о в т о г а р а ч и м с в і т о м т о р о ж е в и м] [с о н ц е б е з п р о м і н: я ч е р в о н е н е н а ч е з ж а р у а л е ж о в т и й с в і т о д х м а р о д б и в а є й к и д а є й а с н и й с в і т н а ш и р о к у к а р т и н у] [з а в и ш г о р о д о м с т о ї т ь н а д н і п р і с и з а а л е з ж о в т и м с у т і н к о м і м л а]
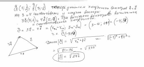
ответ: с(- 9;14) нашел на всякий случай и длину вектора равную
, хотя ее вроде и не спрашивали
Объяснение:
во вложении