М
Молодежь
К
Компьютеры-и-электроника
Д
Дом-и-сад
С
Стиль-и-уход-за-собой
П
Праздники-и-традиции
Т
Транспорт
П
Путешествия
С
Семейная-жизнь
Ф
Философия-и-религия
Б
Без категории
М
Мир-работы
Х
Хобби-и-рукоделие
И
Искусство-и-развлечения
В
Взаимоотношения
З
Здоровье
К
Кулинария-и-гостеприимство
Ф
Финансы-и-бизнес
П
Питомцы-и-животные
О
Образование
О
Образование-и-коммуникации
бракус11
бракус11
26.05.2021 21:47 •  Геометрия

S трапеції = 98см (Квадратних) Р трапеції = 98см з основ 12см h = 7 знайти другу основу

👇
Ответ:
milana2709
milana2709
26.05.2021

CD = 16 см

Объяснение:

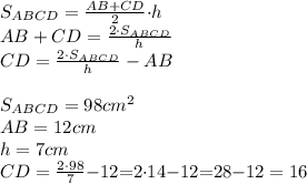
Дано:

ABCD - mpan.\\ S_{ABCD} = 98 cm^2\\ oc{-}e \: AB = 12 cm \\ h = 7 cm \\ \\ Haùmu: \\ oc{-}e \:CD \: = \: ? \:

S_{ABCD} = \frac{AB + CD}{2}{\cdot}h \\ {AB + CD} = \frac{2 {\cdot}S_{ABCD}}{h} \\ {CD} = \frac{2 {\cdot}S_{ABCD}}{h} - AB \\ \\S_{ABCD} = 98 cm^2\\AB = 12 cm \\ h = 7 cm \\ {CD} = \frac{2 {\cdot}98}{7} { - }12 {= } {2{\cdot}14} {-} 12{ =} 28{ -} 12 = 16

4,4(47 оценок)
Открыть все ответы
Ответ:
zepoo
zepoo
26.05.2021
Обозначим высоту треугольника АВС :ВД=Х,имеющего углы А=45*,В=105* и С=30* соответственно,согласно условия; Тогда АВ=Х\/2; ВС=2Х( сторона против угла 30*); а АД=Х и ДС=(Х\/3)2; соответственно; Находим площадь через сторону АС и высоту Х, получим:Х^2=80/(2+\/3); Откуда Х=\/80/(2+\/3); Зная высоту Х и стороны АВ=Х\/2;ВС=2Х , а также СД=Х+Х\/3/2; НАХОДИМ каждую высоту, разделив 2Sпл.на каждую из сторон: Например:2S/2X=S/\/80(2+\/3); А также 3-ю высоту:2S/X\/2=2S/(X\/2) ответ: h1=\/80/(2+\/3); h2=S/\/80(2+\/3); h3=2S/(X\/2)
4,6(3 оценок)
Ответ:
andriana2017
andriana2017
26.05.2021
Обозначим высоту треугольника АВС :ВД=Х,имеющего углы А=45*,В=105* и С=30* соответственно,согласно условия; Тогда АВ=Х\/2; ВС=2Х( сторона против угла 30*); а АД=Х и ДС=(Х\/3)2; соответственно; Находим площадь через сторону АС и высоту Х, получим:Х^2=80/(2+\/3); Откуда Х=\/80/(2+\/3); Зная высоту Х и стороны АВ=Х\/2;ВС=2Х , а также СД=Х+Х\/3/2; НАХОДИМ каждую высоту, разделив 2Sпл.на каждую из сторон: Например:2S/2X=S/\/80(2+\/3); А также 3-ю высоту:2S/X\/2=2S/(X\/2) ответ: h1=\/80/(2+\/3); h2=S/\/80(2+\/3); h3=2S/(X\/2)
4,8(60 оценок)
Это интересно:
Новые ответы от MOGZ: Геометрия
logo
Вход Регистрация
Что ты хочешь узнать?
Спроси Mozg
Открыть лучший ответ