М
Молодежь
К
Компьютеры-и-электроника
Д
Дом-и-сад
С
Стиль-и-уход-за-собой
П
Праздники-и-традиции
Т
Транспорт
П
Путешествия
С
Семейная-жизнь
Ф
Философия-и-религия
Б
Без категории
М
Мир-работы
Х
Хобби-и-рукоделие
И
Искусство-и-развлечения
В
Взаимоотношения
З
Здоровье
К
Кулинария-и-гостеприимство
Ф
Финансы-и-бизнес
П
Питомцы-и-животные
О
Образование
О
Образование-и-коммуникации
4Миатрисс654
4Миатрисс654
25.12.2022 07:37 •  Геометрия

с легкими тригонометрическими уравнениями


с легкими тригонометрическими уравнениями
с легкими тригонометрическими уравнениями
с легкими тригонометрическими уравнениями
с легкими тригонометрическими уравнениями
с легкими тригонометрическими уравнениями

👇
Ответ:
andrew120885p09zsu
andrew120885p09zsu
25.12.2022

sina=2!

4,5(86 оценок)
Ответ:
АхМеД2233
АхМеД2233
25.12.2022

Відповідь:

Пояснення:

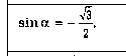
sin α = -п/2 <-1 нет решений

sin α = -1/2  α = (-1)ⁿ п/6 +пn, n ∈ Z

sin α = 1/7     α = (-1)ⁿ arcsin(1/7) +пn, n ∈ Z

sin α = П/2 >1 нет решений

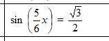
sin (5/6х) = √3/2>1 нет решений

4,4(53 оценок)
Открыть все ответы
Ответ:
Nastionka6757
Nastionka6757
25.12.2022
Дано: ABCD  ромб ; BD =30 ; AC =40 ; AK ⊥ (ABCD) ; AK= 10 .

d( K , CD) = d( K , BC) - ?

Проведем  из вершины A  высоту ромба :  AH  ⊥ CD  (AH = h) и соединим  точка H с точкой K . KH -наклонная  , AH ее проекция на  плоскости  ABCD.
По теореме трех перпендикуляров CD  ⊥  KH ,т.е.  KH есть расстояние от точки   K до  стороны CD .
Из ΔKAH : KH = √(KA² +AH²).

Сторона  ромба равно  a =√ ( (BD/2)² +(AC/2)² ) = (1/2)*√ ( BD² +AC)² = 
 (1/2)*√ ( 30² +40)²  =(1/2)*50=25. 
S(ABCD) =BD*AC/2 = 30*40/2 = 600. C другой стороны  S(ABCD) =a*AH ⇒
600 =25*AH  ⇒AH =24.
Окончательно :
KH = √(KA² +AH²) = √(10²+24)² =√(100+576) =√676=26.

ответ :   26.
4,8(9 оценок)
Ответ:
dimus99
dimus99
25.12.2022
Линия пересечения сферы плоскостью равна длине окружности, образовавшейся на шаре в результате пересечения. На рисунке АО = МО = ВО = D/2 = 10/2 = 5 см - радиусы шара. Из равнобедренного треугольника ВОМ: углы при основании равны: угол ОВМ = углу ОМВ = 45 градусов. Следовательно, угол ВОМ = 90 градусов. По теореме Пифагора из прямоугольного треугольника ВОМ: ОМ^2 = BM^2 + OM^2, OM^2 = 25 + 25 = 50, OM = корень из 50 = пять корней из двух. Итак, длина окружности равна: 2pi*R = D*pi = пять корней из. Искомая линия пересечения пять корней из двух умножить на pi сантиметров.

Диаметр шара равен 10 через конец диаметра проведена плоскость под углом 45.найдите длину линии пере
4,6(85 оценок)
Новые ответы от MOGZ: Геометрия
logo
Вход Регистрация
Что ты хочешь узнать?
Спроси Mozg
Открыть лучший ответ