М
Молодежь
К
Компьютеры-и-электроника
Д
Дом-и-сад
С
Стиль-и-уход-за-собой
П
Праздники-и-традиции
Т
Транспорт
П
Путешествия
С
Семейная-жизнь
Ф
Философия-и-религия
Б
Без категории
М
Мир-работы
Х
Хобби-и-рукоделие
И
Искусство-и-развлечения
В
Взаимоотношения
З
Здоровье
К
Кулинария-и-гостеприимство
Ф
Финансы-и-бизнес
П
Питомцы-и-животные
О
Образование
О
Образование-и-коммуникации
ScHooLNick555
ScHooLNick555
20.07.2020 19:36 •  Геометрия

Точка M принадлежит отрезку AB и находится от точки A на расстоянии четверти отрезка AB. Найдите координаты точки M, если точка A имеет координаты (3; 3), а точка B – координаты (–11; 1).

👇
Ответ:
miniahmetovtimu
miniahmetovtimu
20.07.2020
Простите самой нужен ответ (
4,4(49 оценок)
Ответ:
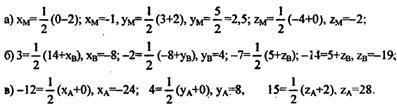
вот всё на картинке помооожет сомнений нету
вот всё на картинке помооожет сомнений нету
4,4(11 оценок)
Открыть все ответы
Ответ:
tasapetrova
tasapetrova
20.07.2020
1)Использована формула площади трапеции, свойство катета, лежащего против угла в 30 градусов, свойство средней линии трапеции
2)Пусть АВСД данная равнобедренная трапеция. угол В = 135 град.Тогда угол А=180-135=45 град., Пусть ВК и СМ высоты опущенные на основание.АК=1,4см, КД=3,4см. Рассмотрим треуг-к АВК. угол К=90.Тогда уголАВК=90-45=45. Значит треуг-кАВК- равнобедренный и АК=ВК = 1,4см. АК=МД=1,4см по свойству равнобедренной трапеции. Тогда КМ=КД-МД=3,4-1,4=2 см. ВС=КМ=2 см по свойству равнобедренной трапеции. АД=1,4+3,4=4,8 см Тогда площадь S=((a+b)/2)*h S=((2+4,8)/2)*1,4=3,4*1,4=4,76 (см^2) 
1. найдите площадь трапеции, у которой средняя линия равна 10см, боковая сторона-6см и составляет с
4,6(23 оценок)
Ответ:
настя7567
настя7567
20.07.2020
1)Использована формула площади трапеции, свойство катета, лежащего против угла в 30 градусов, свойство средней линии трапеции
2)Пусть АВСД данная равнобедренная трапеция. угол В = 135 град.Тогда угол А=180-135=45 град., Пусть ВК и СМ высоты опущенные на основание.АК=1,4см, КД=3,4см. Рассмотрим треуг-к АВК. угол К=90.Тогда уголАВК=90-45=45. Значит треуг-кАВК- равнобедренный и АК=ВК = 1,4см. АК=МД=1,4см по свойству равнобедренной трапеции. Тогда КМ=КД-МД=3,4-1,4=2 см. ВС=КМ=2 см по свойству равнобедренной трапеции. АД=1,4+3,4=4,8 см Тогда площадь S=((a+b)/2)*h S=((2+4,8)/2)*1,4=3,4*1,4=4,76 (см^2) 
1. найдите площадь трапеции, у которой средняя линия равна 10см, боковая сторона-6см и составляет с
4,6(38 оценок)
Это интересно:
Новые ответы от MOGZ: Геометрия
logo
Вход Регистрация
Что ты хочешь узнать?
Спроси Mozg
Открыть лучший ответ