М
Молодежь
К
Компьютеры-и-электроника
Д
Дом-и-сад
С
Стиль-и-уход-за-собой
П
Праздники-и-традиции
Т
Транспорт
П
Путешествия
С
Семейная-жизнь
Ф
Философия-и-религия
Б
Без категории
М
Мир-работы
Х
Хобби-и-рукоделие
И
Искусство-и-развлечения
В
Взаимоотношения
З
Здоровье
К
Кулинария-и-гостеприимство
Ф
Финансы-и-бизнес
П
Питомцы-и-животные
О
Образование
О
Образование-и-коммуникации
shakjii12
shakjii12
29.06.2022 00:24 •  Геометрия

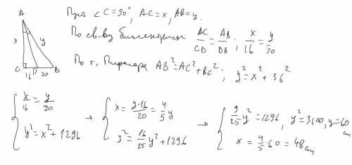
Биссектриса острого угла прямоугольного треугольника делит катет на отрезки 16см и 20см. Найти катет и гипотенузу прямоугольного треугольника

👇
Ответ:
nastiarozhko
nastiarozhko
29.06.2022

48 см, 60 см

Объяснение:


Биссектриса острого угла прямоугольного треугольника делит катет на отрезки 16см и 20см. Найти катет
4,8(56 оценок)
Открыть все ответы
Ответ:
Аня3321
Аня3321
29.06.2022
Билет № 2
3. В окружность вписан треугольник ABC так, что АВ - диаметр окружности. Найдите углы треугольника, если: а) ВС=134°
АВ - диаметр - > < C=90 < A=67 (вписанный угол) < B=180-90-67=23

Билет № 3
3. Сумма двух противоположных сторон описанного четырехугольника равна 12 см. а радиус вписанной в него окружности равен 5 см. Найдите площадь четырехугольника.
Так как четырехугольник описан вокруг окружности, то сумма других сторон равна 12
S=p*r=(a+b+c+d)*r/2=24*5/2=60

Билет № 4
3. Точка касания окружности, вписанной в равнобедренный треугольник, делит одну из боковых сторон на отрезки, равные 3 см и 4 см. считая от основания. Найдите периметр треугольника.
Дан треугольник ABC. AB=BC. M - точка касания вписанной окружности стороны АВ. N - точка касания вписанной окружности стороны ВC. K - точка касания вписанной окружности стороны АC. AM=3. MB=4.
В соответствии со свойством касательных, проведенных из одной точки к окружности
AM=AK CK=CN BM=BN
P=3+3+4+4+3+3=20

\sqrt[n]{x}
4,8(4 оценок)
Ответ:
myrrr14
myrrr14
29.06.2022

1. Если треугольники подобны, то отношения сторон у них равны.

Пусть х - коэффициент пропорциональности.

Тогда стороны треугольника 2x, 5x, 4x.

Меньшая сторона 2х = 22, тогда

х = 11 см

Большая сторона равна 5х:

11 · 5 = 55 см

2. Площади подобных треугольников относятся как квадрат коэффициента подобия.

Если сходственные стороны относятся как 3 : 5, то

Sabc : Smnp = 9 : 25

Учитывая, что Smnp = Sabc + 16, получаем уравнение:

Sabc : (Sabc + 16) = 9 : 25

25·Sabc = 9·Sabc + 144

16·Sabc = 144

Sabc = 9 см²


3. Пусть х - сторона квадрата.

Из треугольника, образованного двумя сторонами квадрата и диагональю по теореме Пифагора:

x² + x² = 16²

2x² = 256

x² = 128

x = 8√2 см

Р = 8√2 · 4 = 32√2 см


4. Из прямоугольного треугольника ACD по теореме Пифагора найдем АС:

АС = √(AD² - CD²) = √(225 - 64) = √161

Площадь параллелограмма равна произведению стороны на проведенную к ней высоту:

Sabcd = CD · AC = 8 · √161 = 8√161 см²


5. ΔАВН: ∠Н = 90°, ∠А = 60°, ⇒ ∠В = 30°. Напротив угла в 30° лежит катет, равный половине гипотенузы, АН = АВ/2 = 4 см.

По теореме Пифагора ВН = √(АВ² - АН²) = √(64 - 16) = √48 = 4√3 см

АН : HD = 2 : 3, ⇒ HD = 6 см.

HBCD - прямоугольник, ⇒ ВС = HD = 6 см.

Sabcd = (AD + BC)/2 · BH = (10 + 6)/2 · 4√3 = 32√3 см


6. ΔACD прямоугольный, DE его высота. По свойству пропорциональных отрезков в прямоугольном треугольнике:

DE² = AE · EC = 8 · 4 = 32

DE = √32 = 4√2 см

ΔAED: по теореме Пифагора

             AD = √(AE² + ED²) = √(64 + 32) = √96 = 4√6 см

ВС = AD = 4√6 см

ΔCDE: по теореме Пифагора

            CD = √(EC² + ED²) = √(16 + 32) = √48 = 4√3 см

АВ = CD = 4√3 см

а) АВ : ВС = 4√3 / (4√6) = 1/√2 = √2/2

б) Pabcd = (AB + BC)·2 = (4√3+ 4√6)·2 = 8·(√3 + √6) см

в) Sabcd = AB·BC = 4√3 · 4√6 = 16√18 = 48√2 см


7. Так как треугольники подобны,

BC : BD = BD : AD

BD² = BC · AD = 8 · 12,5 = 100

BD = 10 см


8. Треугольник АВС равнобедренный, медиана ВН является и высотой.

Из ΔАВН по теореме Пифагора:

ВН = √(АВ² - АН²) = √(625 - 49) = √576 = 24 см

Медианы точкой пересечения делятся в отношении 2 : 1, считая от вершины:

ВО : ОН = 2 : 1, ⇒ ОН = ВН/3 = 8 см

Из треугольника АОН по теореме Пифагора:

АО = √(ОН² + АО²) = √(64 + 49) = √113 см

АО = 2/3 АМ

АМ = √113 · 3/2 = 3√113/2 см

В равнобедренном треугольнике медианы, проведенные к боковым сторонам равны, значит

СК = АМ = 3√113/2 см

4,4(15 оценок)
Новые ответы от MOGZ: Геометрия
logo
Вход Регистрация
Что ты хочешь узнать?
Спроси Mozg
Открыть лучший ответ