М
Молодежь
К
Компьютеры-и-электроника
Д
Дом-и-сад
С
Стиль-и-уход-за-собой
П
Праздники-и-традиции
Т
Транспорт
П
Путешествия
С
Семейная-жизнь
Ф
Философия-и-религия
Б
Без категории
М
Мир-работы
Х
Хобби-и-рукоделие
И
Искусство-и-развлечения
В
Взаимоотношения
З
Здоровье
К
Кулинария-и-гостеприимство
Ф
Финансы-и-бизнес
П
Питомцы-и-животные
О
Образование
О
Образование-и-коммуникации
afsanka98
afsanka98
14.09.2022 21:03 •  Геометрия

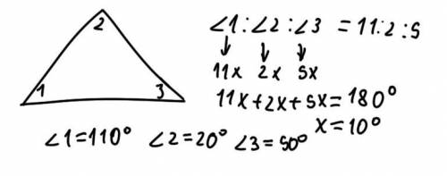
Знайти кути трикутника, якщо градуснi мiри пропорційні числам 11,2,i 5.

👇
Ответ:
МарияПу16
МарияПу16
14.09.2022

Сумма углов в треугольнике, составление уравнения

Объяснение:


Знайти кути трикутника, якщо градуснi мiри пропорційні числам 11,2,i 5.
4,4(56 оценок)
Ответ:
annaps4
annaps4
14.09.2022

Объяснение:

сума кутів у трикутнику дорівнює 180°

тому :

11+2+5=18

180÷18=10°

перший кут. 11*10=110°

другий кут. 2*10=20°

третій. 5*10=50°

Перевіряємо:

110+20+50=180°

4,4(99 оценок)
Открыть все ответы
Ответ:
markzastawa
markzastawa
14.09.2022
Пусть E - точка пересечения прямых BC и AD. Если Е не совпадает с D (на чертеже изображен как раз один из таких случаев), то прямоугольные треугольники BED и CED равны по гипотенузе и катету:
BD=CD по условию, а ED - общий катет. Отсюда ∠BDE=∠CDE,
а т.к. точки A,D,E лежат на одной прямой, то и ∠BDA=∠CDA. 
(Заметим, что если Е совпала с D, то равенство углов ∠BDA и ∠CDA следует сразу из условия, т.к. BC⊥AD).
Далее, треугольники BDA и CDA равны по сторонам и углу между ними
(AD - общая, BD=CD по условию, ∠BDA=∠CDA доказали выше), а значит, AB=AC, что и требовалось.

Дано: ad перпендикулярно bc; bd=cd. докажите,что: ab=ac. решите *
4,8(52 оценок)
Ответ:
Focussed
Focussed
14.09.2022
Подобные задачи ("стороны или углы пропорциональны числам") решаются следующим образом:
1) Вводится переменная х, обозначающая одну часть (пишется "пусть х -одна часть")
2) Стороны треугольника записываются через эту переменную: 3х, 4х, 6х ( то есть в каждой стороне треугольника содержится столько-то этих частей)
3) Стороны складываются, образуя периметр. Получаем уравнение:
3х + 4х+ 6х = 39
13Х = 39
х =3
4) Нам нужна меньшая сторона,  то есть та сторона, которая содержит меньше всего таких частей. Она равна 3х =3*3 =9
4,5(45 оценок)
Это интересно:
Новые ответы от MOGZ: Геометрия
logo
Вход Регистрация
Что ты хочешь узнать?
Спроси Mozg
Открыть лучший ответ