М
Молодежь
К
Компьютеры-и-электроника
Д
Дом-и-сад
С
Стиль-и-уход-за-собой
П
Праздники-и-традиции
Т
Транспорт
П
Путешествия
С
Семейная-жизнь
Ф
Философия-и-религия
Б
Без категории
М
Мир-работы
Х
Хобби-и-рукоделие
И
Искусство-и-развлечения
В
Взаимоотношения
З
Здоровье
К
Кулинария-и-гостеприимство
Ф
Финансы-и-бизнес
П
Питомцы-и-животные
О
Образование
О
Образование-и-коммуникации
Mayramukovsaid
Mayramukovsaid
12.10.2021 02:09 •  Геометрия

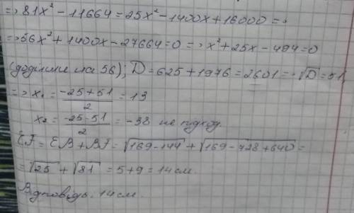
Із точки, взятої на відстані 12 см від прямої, проведено дві похилі. Знайдіть відстань між основами похилих, якщо їх сума дорівнює 28 см, а проекції відносяться як 5:9

👇
Ответ:
kitmyfaded
kitmyfaded
12.10.2021

Дивiться фото. Якщо можна найкращу вiдповiдь.


Із точки, взятої на відстані 12 см від прямої, проведено дві похилі. Знайдіть відстань між основами
Із точки, взятої на відстані 12 см від прямої, проведено дві похилі. Знайдіть відстань між основами
4,6(13 оценок)
Ответ:
jgjgjgjh
jgjgjgjh
12.10.2021

Доброго вечора. Пропоную до уваги розв'язання задач ів тут декілька.


Із точки, взятої на відстані 12 см від прямої, проведено дві похилі. Знайдіть відстань між основами
Із точки, взятої на відстані 12 см від прямої, проведено дві похилі. Знайдіть відстань між основами
4,7(77 оценок)
Открыть все ответы
Ответ:
Уравнение касательной в точке (x1, y1) к эллипсу (x/a)^2 + (y/b)^2 = 1;
x*x1/a^2 + y*y1/b^2 = 1;
Вывести его проще простого - дифференциал в точке (x1, y1) равен 0, заменяется dx = x - x1; dy = y - y1; получается (x1/a^2)*(x - x1) + (y1/b^2)*(y - y1) = 0; откуда сразу получается нужное уравнение.
Касательная в точке (x2, y2) на втором эллипсе (x/с)^2 + (y/d)^2 = 1;
x*x2/c^2 + y*y2/d^2 = 1; 
Эти две прямые должны совпадать. То есть x2/c^2 = x1/a^2; y2/d^2 = y1/b^2;
если переписать уравнения эллипсов так
a^2*(x1/a^2)^2 + b^2*(y1/b^2)^2 = 1;
c^2*(x2/c^2)^2 + d^2*(y2/d^2)^2 = 1;
и обозначить u = (x1/a^2)^2 = (x2/c^2)^2; v = (y1/b^2)^2 = (y2/d^2)^2;
то получается просто линейная система 2х2;
a^2*u + b^2*v = 1;
c^2*u + b^2*v = 1;
У этой системы единственное решение (если есть, конечно, и не просто есть, а должно быть положительно определено, то есть u > 0; v > 0). Уравнения всех ЧЕТЫРЕХ общих касательных получаются потом перебором знаков перед корнями. То есть уравнения касательных будут +-x*√u +- y*√v = 1;
Вот вся теория. Как это выглядит для этой задачки.
a^2 = 6; b^2 = 1; c^2 = 4; d^2 = 9;
6*u + v = 1;
4*u + 9*v = 1;
u = 4/25; √u = 2/5; v = 1/25; √v = 1/5;
+-x*2 +- y = 5; вроде так. (ну, в смысле, 2x + y = 5; 2x - y = 5; -2x + y = 5; -2x - y = 5; ясно, что эти прямые образуют ромб).
Решение не получилось бы, если бы эллипсы не пересекались.
4,5(10 оценок)
Ответ:
vika22888535
vika22888535
12.10.2021
Из сказанного   выше в комментарие
рассмотрим систему:
1)x^2/6+y^2=1
  y=kx+b
x^2/6+ (kx+b)^2=1
x^2+6k^2x^2+12kxb+6b^2-6=0
(1+6k^2)*x^2+12kxb+6b^2-6=0
Линейный случай отсекается    1+6k^2>0
D/4=36k^2*b^2-(1+6k^2)(6b^2-6)=0
2)  x^2/4+y^2/9=1
     x^2/4+(kx+b)^2/9=1
       9x^2+4k^2x^2+8kxb+4b^2-36=0
   (9+4k^2)+8kxb+4b^2-36=0
  9+4kx^2>0  
D/4= 16k^2b^2-(9+4k^2)(4b^2-36)=0
Раскрывая скобки в каждом уравнении получим.
36k^2*b^2-6b^2+6-36k^2b^2+36k^2=0
6k^2-b^2+1=0
и 2   уравнение:
16k^2b^2-36b^2+324-16k^2b^2+144k^2=0
4k^2-b^2+9=0
То  выходит линейная система
6k^2-b^2=-1
4k^2-b^2=-9
Вычтем:
2k^2=8
k^2=4  k=+-2
b^2=25  b=+-5
То   уравнения  общих касательных будут принимать вид:
y=2x+5
y=2x-5
y=-2x+5
y=-2x-5
4,6(70 оценок)
Это интересно:
Новые ответы от MOGZ: Геометрия
logo
Вход Регистрация
Что ты хочешь узнать?
Спроси Mozg
Открыть лучший ответ