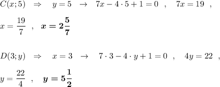
Применим формулу для уравнения прямой, проходящей через две точки и запишем уравнение прямой, проходящей
через точки и
.
Если надо , то можно записать уравнение прямой через угловой коэффициент, выразив переменную у : .
Чтобы найти точку, лежащую на прямой, если известна одна из координат ( абсцисса или ордината) , надо подставить числовое значение вместо соответствующей координаты и найти вторую координату .
russian.
тригонометрические функции острого угла в прямоугольном треугольнике. sin, cos, tg, ctg
итак, у каждого прямоугольного треугольника есть два острых угла. для каждого из них можно найти синус, косинус, тангенс и котангенс. здесь главное не перепутать, что к чему относится.
синус острого угла пр. треугольника - это отношение (деление) противолежащего этому углу катета к гипотенузе.
косинус острого угла пр. треугольника - это отношение (деление) прилегающего к этому углу катета к гипотенузе.
тангенс острого угла пр. треугольника - это отношение противолежащего этому углу катета к прилегающему катету.
котангенс - это наоборот, отношение прилегающего к этому углу катета к противолежащему.
во вложении есть рисунок, там все показано. легче это понять словами, а не на рисунке (лично для меня).
также существует таблица значений синуса, косинуса, тангенса и котангенса для некоторых углов (30°, 45°, 60°, 90°), тоже во вложении. таблицу нужно выучить обязательно.
ukrainian.
тригонометричні функції гострого кута прямокутного трикутника. sin, cos, tg, ctg.
у кожному прямокутному трикутнику є два гострих кута. для кожного з них можна знайти синус, косинус, тангенс та котангенс.
синус гострого кута пр. трикутника - це відношення (ділення) протилежного цьому куту катета до гіпотенузи.
косинус гострого кута пр. трикутника - це, відношення прилеглого цьому куту катета до гіпотенузи.
тангенс гострого кута пр. трикутника - це відношення протилежного цьому куту катета до прилеглого.
котангенс - це, навпаки, відношення прилеглого до цього кута катета до протилежного.
також існує таблиця значень синуса(sin), косинуса (cos), тангенса(tg) та котангенса (ctg) для деяких кутів (30°, 45°, 60°, 90°). таблицю потрібно вивчити.
таблицу можно легко выучить по принципу, данному на сайте
Для решения применим теорему Фалеса: Если на одной из двух прямых отложить последовательно несколько отрезков и через их концы провести параллельные прямые, пересекающие вторую прямую, то они отсекут на второй прямой пропорциональные отрезки.
Чтобы без линейки с делениями разделить отрезок, длина которого не известна, нужно от одного из концов этого отрезка провести под углом к нему вс луч и на этом луче на равном расстоянии отметить нужное количество точек.
а) На вс луче отложим через равные промежутки 2+5 =7 точек. Затем через последнюю точку и конец заданного отрезка проведём прямую и через все точки ещё 6 прямых, параллельных ей. При этом заданный отрезок будет разделен на 7 равных частей. Отсчитаем 2 из получившихся отрезков. Остальная часть равна 5 отмеренным отрезкам, а исходный разделен в отношении 2:5
Можно на заданном отрезке откладывать не 7 отрезков, а провести всего 2 прямые - через седьмую и параллельно ей через вторую точку. Заданный отрезок будет разделён в нужном отношении.
б) и в) делим точно так же.
Объяснение:
Записать уравнение прямой
:
Теперь подставляя в это уравнение известную координату, находим неизвестную. Например, для точки
значит 
