М
Молодежь
К
Компьютеры-и-электроника
Д
Дом-и-сад
С
Стиль-и-уход-за-собой
П
Праздники-и-традиции
Т
Транспорт
П
Путешествия
С
Семейная-жизнь
Ф
Философия-и-религия
Б
Без категории
М
Мир-работы
Х
Хобби-и-рукоделие
И
Искусство-и-развлечения
В
Взаимоотношения
З
Здоровье
К
Кулинария-и-гостеприимство
Ф
Финансы-и-бизнес
П
Питомцы-и-животные
О
Образование
О
Образование-и-коммуникации
yaya4
yaya4
12.10.2022 06:21 •  Геометрия

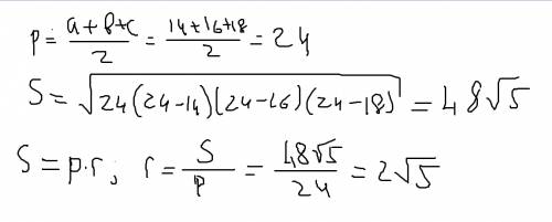
Стороны треугольника равны 14 , 16 и 18 см. найдите радиус вписанной окружности

👇
Ответ:
лпк18
лпк18
12.10.2022
R=корень из((p-a)(p-b)(p-c)/p)
p=1/2(a+b+c)=24
r=2 корня из 5
4,6(87 оценок)
Ответ:
траппер
траппер
12.10.2022
................................................
Стороны треугольника равны 14 , 16 и 18 см. найдите радиус вписанной окружности
4,4(5 оценок)
Открыть все ответы
Ответ:
liakjv554211
liakjv554211
12.10.2022
1) гипотенуза делится на 2 отрезка: 10х и 3х (х длина одной части гипотенузы); 2) из одной вершины треугольника две касательные равные: 3х; из второй вершины две касательные равные: 10х; из третьей вершины две касательные равные: у; 3) гипотенуза равна 3х+10х=13х; один катет равен 3х+у; второй катет равен 10х+у; 4) радиус вписанной окружности в прямоугольный треугольник находится по формуле: r=(a+b-c)/2; 5)подставим наши значения: 4=(3х+у+10х+у-13х)/2; 2у=8; у=4; 5) значит, один катет равен 3х+4; второй катет равен 10х+4; по теореме Пифагора: (13х)^2=(3х+4)^2+(10х+4)^2; 169х^2=9х^2+24х+16+100х^2+80х+16; 15х^2-26х-8=0; х=2; х=-4/15 (отрицательный корень нам не нужен); 6) гипотенуза равна: 13х=13*2=26; один катет равен: 3х+4=3*2+4=10; второй катет равен: 10х+4=10*2+4=24; ответ: 10; 24; 26
4,8(59 оценок)
Ответ:
Vikak005love
Vikak005love
12.10.2022
1) гипотенуза делится на 2 отрезка: 10х и 3х (х длина одной части гипотенузы); 2) из одной вершины треугольника две касательные равные: 3х; из второй вершины две касательные равные: 10х; из третьей вершины две касательные равные: у; 3) гипотенуза равна 3х+10х=13х; один катет равен 3х+у; второй катет равен 10х+у; 4) радиус вписанной окружности в прямоугольный треугольник находится по формуле: r=(a+b-c)/2; 5)подставим наши значения: 4=(3х+у+10х+у-13х)/2; 2у=8; у=4; 5) значит, один катет равен 3х+4; второй катет равен 10х+4; по теореме Пифагора: (13х)^2=(3х+4)^2+(10х+4)^2; 169х^2=9х^2+24х+16+100х^2+80х+16; 15х^2-26х-8=0; х=2; х=-4/15 (отрицательный корень нам не нужен); 6) гипотенуза равна: 13х=13*2=26; один катет равен: 3х+4=3*2+4=10; второй катет равен: 10х+4=10*2+4=24; ответ: 10; 24; 26
4,4(100 оценок)
Это интересно:
Новые ответы от MOGZ: Геометрия
logo
Вход Регистрация
Что ты хочешь узнать?
Спроси Mozg
Открыть лучший ответ