М
Молодежь
К
Компьютеры-и-электроника
Д
Дом-и-сад
С
Стиль-и-уход-за-собой
П
Праздники-и-традиции
Т
Транспорт
П
Путешествия
С
Семейная-жизнь
Ф
Философия-и-религия
Б
Без категории
М
Мир-работы
Х
Хобби-и-рукоделие
И
Искусство-и-развлечения
В
Взаимоотношения
З
Здоровье
К
Кулинария-и-гостеприимство
Ф
Финансы-и-бизнес
П
Питомцы-и-животные
О
Образование
О
Образование-и-коммуникации
Tenur
Tenur
29.01.2022 10:05 •  Геометрия

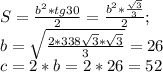
Площадь прямоугольного треугольника равна338корней из 3 . один из острых углов .60 найдите длину гипотенузы.

👇
Ответ:
ЯЯЯ03
ЯЯЯ03
29.01.2022
S= \frac{b^2*tg 30}{2} = \frac{b^2* \frac{ \sqrt{3} }{3}}{2} ; \\ b= \sqrt{ \frac{2*338 \sqrt{3}* \sqrt{3} }{3} } =26 \\ c=2*b=2*26=52
4,5(70 оценок)
Открыть все ответы
Ответ:
guarginia666
guarginia666
29.01.2022
Вот вам решение :(((
В дополнение к заданным в задаче обозначениям я ввожу еще такие.
BF пересекает А в точке К. АМ = p; BN = t; NC = q; CK = x; KA = y; CF = e; FN = u; MF = f;
Ну, и АВ = с, ВС = а;
Из теорем Чевы и Ван-Обеля сразу следует
m*q*y/(p*t*x) = 1;
x/y + q/t = e/f; 
y/x + p/m = n/u;
Из первого и второго равенств следует q/t = (x/y)*(p/m); и 
(x/y)*(1 + p/m) = e/f;
аналогично из первого и третьего равенств p/m = (y/x)*(q/t); и 
(y/x)*(1 + q/t) = n/u;
Если перемножить левые и правый части, получается
(1 + p/m)*(1 + q/t) = (e*n)/(f*u); или (c/m)*(a/t) = (e*n)/(f*u); 
Пока что нигде не использовалось условие равенства углов. Это условие означает, что точки A M N C лежат на одной окружности. Отсюда сразу следует, что n*u = e*f; (произведения отрезков хорд) и m*c = t*a; (произведения отрезков секущих из точки В). Подставляя  e = n*u/f; и с = a*t/m; я получаю
a^2/m^2 = n^2/f^2; или a/m = n/f;
f = n*a/m; 
Между прочим, угол между f и n (угол MFA) НЕ равен углу ABC. То есть получить это равенство из подобия не получится :)
4,8(54 оценок)
Ответ:
Vladislava111111111
Vladislava111111111
29.01.2022
Извини что так долго отходил! 
BD  медиана к стороне АС . По формуле медиана в  любом треугольнике равна 
BD=√(2a^2+2b^2-c^2)/2
так как у нас медиана  равна , пусть АВ=у
√3y/4 = √2y^2+2(x^2-3y^2/16)-4x^2  
x^2-3y^2/16 вышло от прямоугольного треугольника ВДС

√3y/4 = √2y^2+2(x^2-3y^2/16)-4x^2  
3y^2/16  - 2y^2 -2(x^2- 3y^2/16)+4x^2=0
x/y=√(7/16) 

по теореме косинусов найдем наш искомый угол . возьмем х =√7  , y=√16. получим 
7=16+3-2*(√16 *√(48)/4)*cosa
cosa=-12/-2*√48
cosa=6/√48=√3/2
a=pi/6 = 30 гр 
ответ  30 гр 
4,6(95 оценок)
Новые ответы от MOGZ: Геометрия
logo
Вход Регистрация
Что ты хочешь узнать?
Спроси Mozg
Открыть лучший ответ