М
Молодежь
К
Компьютеры-и-электроника
Д
Дом-и-сад
С
Стиль-и-уход-за-собой
П
Праздники-и-традиции
Т
Транспорт
П
Путешествия
С
Семейная-жизнь
Ф
Философия-и-религия
Б
Без категории
М
Мир-работы
Х
Хобби-и-рукоделие
И
Искусство-и-развлечения
В
Взаимоотношения
З
Здоровье
К
Кулинария-и-гостеприимство
Ф
Финансы-и-бизнес
П
Питомцы-и-животные
О
Образование
О
Образование-и-коммуникации
NickMean
NickMean
01.04.2020 12:21 •  Геометрия

Найти радиус окружности, вписаной в равнобедренную трапецию, если ее большее основание равно а, а угол при меньшем основании 120 градусов.

👇
Ответ:
skuryan
skuryan
01.04.2020
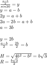
В трапецию можно вписать окружность когда сумма боковых сторона равна сумме оснований. Пусть основания равны a;b .  Боковая  сторона равна  y .  Тогда  
 \frac{\frac{a-b}{2}}{sin30}=y\\ 
y=a-b \\
 2y=a+b\\
 2a-2b=a+b\\
 a=3b\\\\
 y=2b\\
\frac{a-b}{2}=\frac{2b}{2}=b\\\\
 H=\sqrt{4b^2-b^2}=b\sqrt{3}\\
 R=\frac{b\sqrt{3}}{2} 
R=\frac{\frac{a}{3}\sqrt{3}}{2}=\frac{a\sqrt{3}}{6}
4,7(10 оценок)
Открыть все ответы
Ответ:
anuchka666
anuchka666
01.04.2020

Применим теорему Пифагора

Поскольку высота треугольника делит основание пополам, то длина половины основания будет равна 12 / 2 = 6см .

Высота с половиной основания и стороной равнобедренного треугольника образует прямоугольный треугольник. Соответственно, высота основания будет равна:

h = √ 102 - 62 = √64 = 8 см

Площадь равнобедренного треугольника будет равна площади двух прямоугольных треугольников, образованных боковыми сторонами, высотой и половинами основания равнобедренного треугольника. Применив формулу площади прямоугольного треугольника, получим:

S = 6 * 8 / 2 = 24 см2

Поскольку прямоугольных треугольников два, то общая площадь равнобедренного треугольника составит:

 24* 2 = 48см2 .

можно площадь найти так

S=(1/2)ah=(1/2)*12*8=48  см2        a- основание h-высота

ответ: Площадь равнобедренного треугольника составляет 48 см2

Объяснение:


Найди площадь ровнобедренного треугольника если его основание равна 12 см а боковая сторона ровна 10
4,5(46 оценок)
Ответ:
Ris1234
Ris1234
01.04.2020

Объяснение:

Задать вопрос

Войти

Аноним

Английский язык

11 января 07:31

Перевод текста Spotlight on Russia explores ecology camps in russia

ответ или решение1

Новикова Лариса

Исследование экологических лагерей в России.

Мы только что вернулись со школьной конференции в Москве. Мы слышали о 10-дневной экспедиции в национальный парк "Угра". Этот парк расположен рядом с рекой Жиздра, где растет много разных деревьев и растений, найденных в Центральной России.

Мы узнали, что большинство школьников в России изучают экологию и принимают участие в конференциях и мероприятиях, посвященных современным экологическим проблемам. В школьные каникулы дети ездят во многие лагеря, где они учатся делать практические вещи, чтобы заботиться о природе и окружающей среде.

Цель студенческой экспедиции состояла в том, чтобы исследовать флору и фауну своей родины и узнать больше о практической экологии. Они научились ощущать природу, используя все свои чувства. Они научились  видеть, слышать, чувствовать и понимать природу. Несмотря на миллионы комаров, они согласились, что природа удивительна, и подтвердили, что это был фантастический опыт!

Студенты участвовали в волонтерской работе, такой как очистка источников и тропинок в лесу. Их приключения также преподали им много практических уроков о самостоятельной жизни в лесу. Они научились ставить палатки, разводить костры, рубить дрова и готовить на открытом огне.

Одним из любимых занятий студентов были ночные пения вокруг костра. Они сказали, что это прекрасный расслабиться после долгого дня, полного открытий и приключений. Отдыхающим очень понравилось пребывание в эко-лагере. Фактически, почти все они сказали, что надеются вернуться снова в следующем году!

4,5(18 оценок)
Новые ответы от MOGZ: Геометрия
logo
Вход Регистрация
Что ты хочешь узнать?
Спроси Mozg
Открыть лучший ответ