М
Молодежь
К
Компьютеры-и-электроника
Д
Дом-и-сад
С
Стиль-и-уход-за-собой
П
Праздники-и-традиции
Т
Транспорт
П
Путешествия
С
Семейная-жизнь
Ф
Философия-и-религия
Б
Без категории
М
Мир-работы
Х
Хобби-и-рукоделие
И
Искусство-и-развлечения
В
Взаимоотношения
З
Здоровье
К
Кулинария-и-гостеприимство
Ф
Финансы-и-бизнес
П
Питомцы-и-животные
О
Образование
О
Образование-и-коммуникации
daria2512
daria2512
15.11.2020 09:42 •  Геометрия

Найдите уравнение окружности, если точки а (2: 0) и в (-2: 6) являются концами ее диаметра

👇
Ответ:
446664Flu
446664Flu
15.11.2020
Найдем сначала центр окружности (середина диаметра)

O\big( \frac{2+(-2)}{2} ; \frac{0+6}{2}\big)=O\big( 0 ; 3)

радиус AO^2= (2-0)^2+(0-3)^2=4+9=13

уравнение окружности (x-x_0)^2+(y-y_0)^2=R^2

подставляем найденные значения
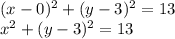
(x-0)^2+(y-3)^2=13\\
x^2+(y-3)^2=13
4,8(90 оценок)
Открыть все ответы
Ответ:
vorsunovakatv
vorsunovakatv
15.11.2020

Б. Житков «Про волка» (цикл рассказов)

Главная мысль произведения: приручения дикого зверя – дело сложное, требующее терпения, силы и смелости.

Рассказ «Дикий зверь»

Главная мысль: дикий зверь, даже детеныш, существо опасное, но, как и все малыши, ценящее заботу и ласку.

Главные герои: рассказчик, его мать, волчонок.

Рассказ «Как я учил волка «тубо»

Главная мысль: обучение первой команде давалось сложно, в процесс оказались вовлечены многие окружающие, их и терпение сделали свое дело.

Главные герои: рассказчик, волчонок, собака Плишка.

4,6(47 оценок)
Ответ:
mdjjhhjdjnemash
mdjjhhjdjnemash
15.11.2020

Б. Житков «Про волка» (цикл рассказов)

Главная мысль произведения: приручения дикого зверя – дело сложное, требующее терпения, силы и смелости.

Рассказ «Дикий зверь»

Главная мысль: дикий зверь, даже детеныш, существо опасное, но, как и все малыши, ценящее заботу и ласку.

Главные герои: рассказчик, его мать, волчонок.

Рассказ «Как я учил волка «тубо»

Главная мысль: обучение первой команде давалось сложно, в процесс оказались вовлечены многие окружающие, их и терпение сделали свое дело.

Главные герои: рассказчик, волчонок, собака Плишка.

4,8(60 оценок)
Это интересно:
Новые ответы от MOGZ: Геометрия
logo
Вход Регистрация
Что ты хочешь узнать?
Спроси Mozg
Открыть лучший ответ