М
Молодежь
К
Компьютеры-и-электроника
Д
Дом-и-сад
С
Стиль-и-уход-за-собой
П
Праздники-и-традиции
Т
Транспорт
П
Путешествия
С
Семейная-жизнь
Ф
Философия-и-религия
Б
Без категории
М
Мир-работы
Х
Хобби-и-рукоделие
И
Искусство-и-развлечения
В
Взаимоотношения
З
Здоровье
К
Кулинария-и-гостеприимство
Ф
Финансы-и-бизнес
П
Питомцы-и-животные
О
Образование
О
Образование-и-коммуникации
Belka1985
Belka1985
12.12.2022 03:18 •  Геометрия

Решение : средняя линия трапеции равна23 а меньшее 15 найдите большее основание

👇
Ответ:
ммм298
ммм298
12.12.2022
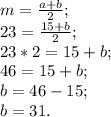
Пусть средняя линия -  m, a-меньшее основание , b-большее основание.
m= \frac{a+b}{2};
 \\ 23= \frac{15+b}{2}; \\ 23*2=15+b; \\ 46=15+b; \\ b=46-15; \\ b=31.
4,8(22 оценок)
Открыть все ответы
Ответ:
manoco
manoco
12.12.2022

Угол между прямой и плоскостью - угол между наклонной и её проекцией на плоскость.

Чтобы найти проекцию наклонной B1C на плоскость (AA1C) спроецируем точку B1, то есть проведем перпендикуляр B1H к плоскости (AA1C).

Прямая перпендикулярна плоскости если она перпендикулярна двум пересекающимся прямым в плоскости.

Любая прямая в плоскости (A1B1C1) перпендикулярна СС1 (боковые ребра прямой призмы перпендикулярны основаниям). Поэтому достаточно опустить перпендикуляр B1H на A1С1.

B1H⊥A1С1, B1H⊥CC1 => B1H⊥(AA1C)

HC - проекция наклонной B1C на плоскость (AA1C)

B1CH - искомый угол

△B1CH - прямоугольный (B1H⊥HC)

7) B1H =√3/2 (высота в равностороннем △A1B1C1)

B1C =√3 (△B1CB, теорема Пифагора)

sin(B1CH) =B1H/B1C =1/2

B1CH=30

8) HC1 =4 (B1H высота и медиана)

HC =5 (△HCC1 египетский)

cos(B1CH) =HC/B1C =5/10 =1/2

B1CH=60


Решали по теореме косинусов, но не знаем верно ли
4,7(42 оценок)
Ответ:
aliaganieva70
aliaganieva70
12.12.2022

Дано: ΔABC - равнобедренный, АВ=ВС, AD - биссектриса, BD= 10 см, CD= 15 см.

Найти: Рabc.

Решение.

Так как по условию BD= 10 см, CD= 15 см, то ВС= BD+CD= 10+15= 25 (см).

Поскольку АВС - равнобедренный треугольник, то AB=BC= 25 см.

По свойству биссектрисы угла треуголька:

биссектриса угла треугольника делит противоположную сторону на части, пропорциональные прилежащим сторонам треугольника.

Т.е. AB : BD = AC : CD;

25:10= AC:15;

AC= 25•15 : 10;

AC= 37,5 (см).

Находим периметр треугольника АВС:

Рabc = AB+BC+AC= 25+25+37,5= 87,5 (см).

ОТВЕТ: 87,5 см.


Биссектриса угла при основании равнобедренного треугольника делит боковую сторону на отрезки 10 см и
4,8(78 оценок)
Новые ответы от MOGZ: Геометрия
logo
Вход Регистрация
Что ты хочешь узнать?
Спроси Mozg
Открыть лучший ответ