М
Молодежь
К
Компьютеры-и-электроника
Д
Дом-и-сад
С
Стиль-и-уход-за-собой
П
Праздники-и-традиции
Т
Транспорт
П
Путешествия
С
Семейная-жизнь
Ф
Философия-и-религия
Б
Без категории
М
Мир-работы
Х
Хобби-и-рукоделие
И
Искусство-и-развлечения
В
Взаимоотношения
З
Здоровье
К
Кулинария-и-гостеприимство
Ф
Финансы-и-бизнес
П
Питомцы-и-животные
О
Образование
О
Образование-и-коммуникации
ninaschemetowa
ninaschemetowa
20.02.2021 03:59 •  Геометрия

Найдите площадь трапеции, изображённой на рисунке.

👇
Ответ:
alenasamok
alenasamok
20.02.2021
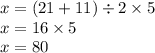
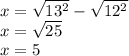
Площадь трапеции равна полусумме её оснований, помноженных на высоту.

Первое основание равно 21, а второе равно 11.

По теореме Пифагора, высота треугольника равна

x = \sqrt{13 ^{2} } - \sqrt{12 ^{2} } \\ x = \sqrt{25} \\ x = 5

Мы нашли высоту, значит можем найти и площадь:

x = (21 + 11) \div 2 \times 5 \\ x = 16 \times 5 \\ x = 80
ответ:площадь трапеции равна 80 ед.кв
4,6(88 оценок)
Открыть все ответы
Ответ:
Niger0000rt
Niger0000rt
20.02.2021

гражданская война (1917-1923гг) - величайшая трагедия в нашей страны. общечеловеческие ценности такие, как милосердие, терпимость, нравственность, отодвинулись на второй план, уступая место принципу "кто не с нами,тот против нас". брат пошел против брата, сын пошел против на фронтах гражданской войны погибло 8.000.000 россиян (для сравнения: в первой мировой войне участвовало 38 государств и погибло примерно 10.000.000 человек)! а ведь у них могли быть дети, внуки! сколько добрых и полезных дел они могли совершить! наверное среди погибших были и мои предки.

или

среди рабов возникли разногласия, от главных сил отделились галлы и германцы во главе со своими вождями. основные резервы рабов были исчерпаны.

4,6(100 оценок)
Ответ:
mgvzvit2005
mgvzvit2005
20.02.2021

Объяснение:

а) по теореме Пифагора найдём гипотенузу АВ: АВ²=АС²+ВС²

АВ=√(8²+6²)=√(64+36)=√100=10см

Зная, что центр описанной окружности около прямоугольного треугольника, является середина его гипотенузы. Поэтому R=AB÷2

R=10÷2=5см;

ответ: R=5см

б) катет, лежащий напротив угла 30° равен половине гипотенузы, поэтому гипотенуза АВ будет в 2 раза больше него: АВ=АС×2; АВ=18×2=36см;

Также R=AB÷2; R=36÷2=18.

ответ: R=18см

От себя добавлю что если вычислять по формуле, которая дана в задании, то результат получается другой. Например: следуя ей и используя данные задания "а", получится следующее: R=(a+b-c)÷2=(8+6-10)÷2=

=(14-10)÷2=4÷2=2. Совсем другой результат. Правило, что центр описанной окружности в прямоугольном треугольнике является середина гипотенузы, верно

ФОРМУЛА НА САМОМ ДЕЛЕ ТАКАЯ:

R=½×√(a²+b²), где " а" и "b"- катеты


решить задачу по геометрии 8 класс.Около прямоугольного треугольника АВС с прямым углом С описана ок
4,4(73 оценок)
Это интересно:
Новые ответы от MOGZ: Геометрия
logo
Вход Регистрация
Что ты хочешь узнать?
Спроси Mozg
Открыть лучший ответ