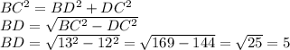
Из
BDC:

По теореме Пифагора:

Из
ADB:

Т.к.
, то
- равнобедренный:
.
Из
АВС:

ответ: 42,5 см2 и
см
лось
Объяснение:
Лося по праву можно назвать крупнейшим современным оленем.При длине тела до 3-х метров у взрослого самца, высота в холке составляет около 2,3 м, а масса тела – от 580 до 600 кг. По внешнему виду он отличен от оленей. Обладая довольно коротким туловищем, он имеет длинные мощные ноги, широкую грудную клетку и массивную горбоносую голову с вздутой верхней губой, сильно нависающей над нижней губой. Большие уши его удивительно подвижны. Особой приметой животного является кожистый вырост длиной 25-40 см в нижней части горла. Лосиные рога представляют собой уплощенную широкую слегка вогнутую лопату на коротком стволе. От краёв лопаты назад и наружу вперёд отходит не более 18 отростков, в среднем равномерно вырастающих по краю лопаты. Но зачастую строение рога может изменяться: при небольшой плоскости лопаты вытягиваются длинные отростки. Бывает, что на лопате вырастает раздваивающийся к концу отросток.
Первый ответ подробныйи исчерпывающий.
Поэтому я только дополню его рисунком, более близким к условию задачи.
S Δ FDC=42,5 cм²
Высота АН=6 ⁹/₁₃ см