М
Молодежь
К
Компьютеры-и-электроника
Д
Дом-и-сад
С
Стиль-и-уход-за-собой
П
Праздники-и-традиции
Т
Транспорт
П
Путешествия
С
Семейная-жизнь
Ф
Философия-и-религия
Б
Без категории
М
Мир-работы
Х
Хобби-и-рукоделие
И
Искусство-и-развлечения
В
Взаимоотношения
З
Здоровье
К
Кулинария-и-гостеприимство
Ф
Финансы-и-бизнес
П
Питомцы-и-животные
О
Образование
О
Образование-и-коммуникации
Muzahabiba
Muzahabiba
15.03.2021 09:19 •  Геометрия

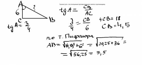
Втреугольнике abc угол c равен 90 град, ac=6, tga = 3/4. найдите ab

👇
Ответ:
lord50
lord50
15.03.2021
Сторону CB можно записать в виде дроби, и возводить в квадрат, там тоже не сложно считается 
Втреугольнике abc угол c равен 90 град, ac=6, tga = 3/4. найдите ab
4,5(27 оценок)
Открыть все ответы
Ответ:
51bai
51bai
15.03.2021
Дана правильная треугольная пирамида SABC, её высота H = SO = 24, апофема A = SD = 25. Hайти расстояние CK от C до плоскости SAB.

Найдём проекцию OD апофемы А на основание АВС.
OD = √(A² - H²) = √(25² - 24²) = √(625 - 576) = √49 = 7.
Рассмотрим осевое сечение пирамиды  через ребро CS  и апофему SD.
Высота СК на апофему и является искомым расстоянием от С до плоскости SAB.
CD - высота основания, она равна трём отрезкам OD:
CD = 3*7 = 21.
Треугольники SOD и CKD подобны по двум углам (один прямой, второй взаимно перпендикулярный).CK/CD = SO/SD.
CK = SO*CD/SD = 24*21/25 = 504/25 = 20,16.
4,5(49 оценок)
Ответ:
aydawgva
aydawgva
15.03.2021
Дана пирамида SABCD, все ребра которой равны - пусть они равны "а".
Значит, все боковые грани - равносторонние треугольники, а основание - квадрат.

а) найти угол между боковой гранью и основанием.
Найдём апофему А (она и высота):
А = а*cos 30° = a√3/2.
Косинус угла α равен: cos((a/2)/A) = (a/2)/(a√3/2) = 1/√3 = √3/3 ≈ 0,57735.
Тогда угол равен: α = arccos  0,57735.
Угол α = 0,955317 радиан или 54,73561 градуса.

б) угол β между боковым ребром и основанием.
β = arc cos((а√2/2)/а) = arccos(√2/2) = 45°.

 в) высота пирамиды Н равна:
Н = √а² - (а√2/2)²) = а√2/2.

 г) Sбок = (1/2)PA = (1/2)*(4a)*(a√3/2) = a²√3.

д) Vпир. = (1/3)SoH = (1/3)a²*(a√2/2) = a³√2/6.
4,4(70 оценок)
Новые ответы от MOGZ: Геометрия
Полный доступ к MOGZ
Живи умнее Безлимитный доступ к MOGZ Оформи подписку
logo
Вход Регистрация
Что ты хочешь узнать?
Спроси Mozg
Открыть лучший ответ