М
Молодежь
К
Компьютеры-и-электроника
Д
Дом-и-сад
С
Стиль-и-уход-за-собой
П
Праздники-и-традиции
Т
Транспорт
П
Путешествия
С
Семейная-жизнь
Ф
Философия-и-религия
Б
Без категории
М
Мир-работы
Х
Хобби-и-рукоделие
И
Искусство-и-развлечения
В
Взаимоотношения
З
Здоровье
К
Кулинария-и-гостеприимство
Ф
Финансы-и-бизнес
П
Питомцы-и-животные
О
Образование
О
Образование-и-коммуникации
KotyaSuper11
KotyaSuper11
15.07.2020 20:08 •  Геометрия

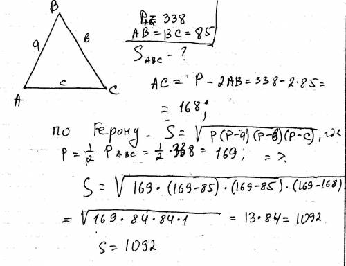
Периметр равнобедренного треугольника равен 338, а боковая сторона — 85. найдите площадь треугольника. подробное решение!

👇
Ответ:
вошл
вошл
15.07.2020
Решение в скане..............

Периметр равнобедренного треугольника равен 338, а боковая сторона — 85. найдите площадь треугольник
4,7(15 оценок)
Открыть все ответы
Ответ:
zhenya270346
zhenya270346
15.07.2020
Векторы для удобства можно как бы переворачивать, например дано - ДА ( минус ДА ), но можно его поменять на + АД ( плюс АД ) , это одно и то же. К тому же векторы можно складывать в таеом порядке, как тебе удобно, а не только так, как сказано в условии. Нам дано ДВ - ДА + ВС , но мы поменяем по своему ( - ДА поменяем на + АД, и ещё переставим их местами, так, чтобы они легко складывались) получаемАД + ДВ + ВС = АС ( АД + ДВ = АВ, теперь АВ + ВС = АС) . Теперь найдем длину АС , в прямоугольнике это диагональ. Длину искать по т Пифагора. Сторона АВ = 9, ВС = 40 , это катеты, АС гипотенуза. 9 в квадр + 40 в квадр = 1681, выводим 1681 из квадрата = 41. ответ АС = 41 см.
4,4(89 оценок)
Ответ:
TerminatorYotub
TerminatorYotub
15.07.2020

Ромб - это параллелограмм, у которого все стороны равны (докажите сами). То есть ромб является параллелограммом.

<AOE = <ACB (как соответственные углы при ||-ных прямых OE и BC и их секущей AC).

Тогда треугольники ACB и AOE подобны по двум углам (<A=<A, <AOE=<ACB),

тогда их стороны пропорциональны, то есть:

AC/AO = BC/EO = AB/AE. (*)

Треугольники AOB и COD равны (докажите сами), тогда

AO = CO, тогда

AC/AO = (AO+CO)/AO = 2AO/AO = 2.

Тогда из (*):

2 = BC/EO, отсюда EO = (1/2)*BC,

Но у ромба все стороны равны, то есть BC = DC, поэтому

EO = (1/2)*BC = (1/2)*DC.

Ч. т. д.

4,7(91 оценок)
Это интересно:
Новые ответы от MOGZ: Геометрия
logo
Вход Регистрация
Что ты хочешь узнать?
Спроси Mozg
Открыть лучший ответ