М
Молодежь
К
Компьютеры-и-электроника
Д
Дом-и-сад
С
Стиль-и-уход-за-собой
П
Праздники-и-традиции
Т
Транспорт
П
Путешествия
С
Семейная-жизнь
Ф
Философия-и-религия
Б
Без категории
М
Мир-работы
Х
Хобби-и-рукоделие
И
Искусство-и-развлечения
В
Взаимоотношения
З
Здоровье
К
Кулинария-и-гостеприимство
Ф
Финансы-и-бизнес
П
Питомцы-и-животные
О
Образование
О
Образование-и-коммуникации
Grizzly23
Grizzly23
19.12.2020 04:36 •  Геометрия

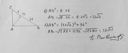
Впрямоугольном треугольнике abc угол a=90 градусов ad-высота bd=36 см dc=8см найдите ad ab

👇
Ответ:
LyubovR
LyubovR
19.12.2020
AD находим по теореме о высотах в прямоугольном треугольнике.
Так как нашли AD, то АВ находим по теореме Пифагора из прямоугольного треугольника ABD.
Решение во вложениях.
Удачи!
Впрямоугольном треугольнике abc угол a=90 градусов ad-высота bd=36 см dc=8см найдите ad ab
4,8(79 оценок)
Открыть все ответы
Ответ:
nikitalandsberg
nikitalandsberg
19.12.2020

Объяснение:

∠DEK  опирается на диаметр DK большой окружности.

∠ОВК опирается на диаметр ОК малой  окружности.

Все вписанные углы, опирающиеся на диаметр, прямые. Следовательно,

∠DEK = ∠ОВК  = 90°. Из этого следует, что

DE ⊥EK и АВ ⊥ЕК.  

Теорема: если две прямые на плоскости перпендикулярны одной и той же прямой, то они параллельны. Значит, DE ║ АВ, ч.т.д.

б) Так как DE ║ АВ, то ∠ВОК = ∠ЕDК как соответственные.

Диаметр АВ ⊥ЕК.   Если хорда перпендикулярна диаметру, то диаметр проходит через её середину, т.е.

ЕС = СК  и т. В - середина дуги ЕК  и, следовательно,

DB - биссектриса ∠EDK прямоугольного ΔDEK.

Теорема: Биссектриса угла треугольника делит его противоположную сторону в пропорции, равной отношению прилежащих к данному углу сторон, т.е.

ЕL : LK = DE : DK =   cos(∠KDE) =  cos(∠KOB) = √(1 - sin²(∠KOB) =

= √1 -7/16 = √9/16 = 3/4


Две окружности касаются внутренним образом в точке K, причём меньшая окружность проходит через центр
4,6(59 оценок)
Ответ:
АуTист
АуTист
19.12.2020

Відповідь:

Стороны начального прямоугольника:

а = 6 см., в = 8 см.

Стороны нового прямоугольника:

а = 12 см., в = 6 см.

Пояснення:

Пусть стороны начального прямоугольника а и в, тогда первое уравнение:

2а + 2в = 28

а + в = 14

В новом прямоугольнике а увеличилось на 6, а в уменьшилось на 2.

Площадь начального прямоугольника:

а × в

Площадь нового прямоугольника:

(а + 6) × (в - 2)

Получаем второе уравнение:

(а + 6) × (в - 2) = а × в + 24

а × в + 6в - 2а -12 = а × в + 24

6в - 2а = 36

Из первого уравнения:

в = 14 - а

Подставляем в во второе уравнение:

84 - 6а - 2а = 36

8а = 48

а = 6 см.

Подставляем первое уравнение:

в = 14 - 8

в = 8 см.

Стороны начального прямоугольника:

а = 6 см., в = 8 см.

Стороны нового прямоугольника:

а = 6 + 6 = 12 см.

в = 8 - 2 = 6 см.

Проверка:

12 × 6 = 8 × 6 + 24

72 = 48 + 24

72 = 72

4,8(50 оценок)
Это интересно:
Новые ответы от MOGZ: Геометрия
logo
Вход Регистрация
Что ты хочешь узнать?
Спроси Mozg
Открыть лучший ответ