М
Молодежь
К
Компьютеры-и-электроника
Д
Дом-и-сад
С
Стиль-и-уход-за-собой
П
Праздники-и-традиции
Т
Транспорт
П
Путешествия
С
Семейная-жизнь
Ф
Философия-и-религия
Б
Без категории
М
Мир-работы
Х
Хобби-и-рукоделие
И
Искусство-и-развлечения
В
Взаимоотношения
З
Здоровье
К
Кулинария-и-гостеприимство
Ф
Финансы-и-бизнес
П
Питомцы-и-животные
О
Образование
О
Образование-и-коммуникации
egorbud5
egorbud5
18.11.2022 11:25 •  Геометрия

Вчетырёхугольнике авсд стороны вс и сд равны, а стороны ав и ад не равны. диагональ ас, равная 8 см, является биссектрисой угла вад, равного 45. найдите ав+ад

👇
Ответ:
Ferencvik
Ferencvik
18.11.2022
Если построить окружность с центром в C и радиусом R = CB = CD; то - поскольку стороны угла BAD симметричны относительно AC, эта окружность пересечет прямые AD и AB в двух точках КАЖДУЮ. Пусть это точки B и D1 - на AB, и В1 и D - на AD; Ясно, что AB = AB1 и AD = AD1; пусть для определенности AD > AB;
Если теперь провести перпендикуляр из C на AD, то он попадет точно в середину хорды B1D; (пусть это точка M).
Легко видеть, что AD + AB1 = 2*AM; (ну, AD = AM + MD; AB1 = AM - MB1 = AM - MD;...)
Треугольник CMA - прямоугольный, гипотенуза AC = 8; ∠CAM = 45°/2;
AM = AC*cos(45°/2) = 8√(2 + √2)/2;
AB + AD = 8√(2 + √2);

вычислять косинус 22,5° я тут не буду - вы легко справитесь,
2*(cos(22,5°))^2  - 1 = cos(45°);
4,6(98 оценок)
Ответ:
beresnevarseny
beresnevarseny
18.11.2022
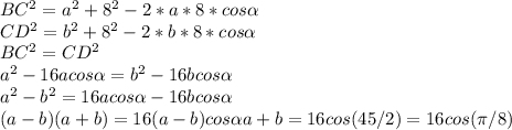
BC^{2} = a^{2} +8 ^{2} -2*a*8*cos \alpha \\ 
CD^{2} =b ^{2} +8 ^{2} -2*b*8*cos \alpha \\ 
BC^{2}=CD^{2} \\ 
a^{2}-16acos \alpha =b^{2} -16bcos \alpha \\ 
a^{2}-b^{2}=16acos \alpha -16bcos \alpha \\ 
(a-b)(a+b)=16(a-b)cos \alpha 
a+b=16cos(45/2)=16cos( \pi /8)

т.к АС- биссектриса, то сделаем для простоты
АВ=а
АД=в
угол ВАС=углу САД=\alpha
по теореме косинусов из треуг. ВАС и САД
4,5(98 оценок)
Открыть все ответы
Ответ:
kayumovtanvir89
kayumovtanvir89
18.11.2022
3.Высота из вершины малого основания в равнобедренной трапеции делит большое основание на отрезки, меньший из которых равен полуразности оснований(то есть (a - b)/2, где а и b - большое и малое основания)откуда больший равен полусумме оснований(потому что а - (a - b)/2 = (a + b)/2)То есть больший отрезок равен средней линии.  треугольник, образованный этим отрезком, высотой и диагональю - это прямоугольный треугольник с углом 45 градусов (так задано).То есть он равнобедренный.То есть средняя линяя равна высоте. цифры тогда сами подставите)
4,6(23 оценок)
Ответ:
zizi2020
zizi2020
18.11.2022
Пусть нам дан ромб АВСD. Пусть угол С=120. В ромбе противоположные углы равны, значит угол А = 120. Углы В и Д равны 360-240= 120. каждый из них равен по 60 градусов. В ромбе диагонали являются биссектрисами углов и пересекаются под прямым углом. Значит угол ОВС = 60/2 =30 Пусть О -точка пересечения диагоналей. Треугольник ВОС - прямоугольный. гипотенуза ВС = 8 см (по условию). ОС - катет лежащий против угла в 30 градусов, значит равен половине гипотенузы = 4 см. по теореме пифагора находим, что ВО = 4√3. АО =ОС, т.к. АС диагональ. Треугольник АВО -прямоугольный. По теореме Пифагора находим гипотенузу АВ = 8 см. Т.к. в ромбе противоположные стороны равны, то Р= 8*4= 32 см.
Ну, как то так
4,4(82 оценок)
Новые ответы от MOGZ: Геометрия
logo
Вход Регистрация
Что ты хочешь узнать?
Спроси Mozg
Открыть лучший ответ