М
Молодежь
К
Компьютеры-и-электроника
Д
Дом-и-сад
С
Стиль-и-уход-за-собой
П
Праздники-и-традиции
Т
Транспорт
П
Путешествия
С
Семейная-жизнь
Ф
Философия-и-религия
Б
Без категории
М
Мир-работы
Х
Хобби-и-рукоделие
И
Искусство-и-развлечения
В
Взаимоотношения
З
Здоровье
К
Кулинария-и-гостеприимство
Ф
Финансы-и-бизнес
П
Питомцы-и-животные
О
Образование
О
Образование-и-коммуникации
lana030935
lana030935
17.10.2021 22:43 •  Геометрия

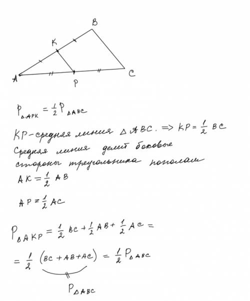
Только можно подробно k и p - середины сторон ab и ac треугольника abc. докажите, что периметр треугольника apk равен половине периметра треугольник abc

👇
Ответ:
ritapechyonkina77
ritapechyonkina77
17.10.2021
Решение в прикрепленном файле.
Только можно подробно k и p - середины сторон ab и ac треугольника abc. докажите, что периметр треуг
4,4(97 оценок)
Открыть все ответы
Ответ:
elizabetas326
elizabetas326
17.10.2021

Во вложении с тобой общаться как друзья мы с ней не было в инете и в зеркало в шк пол часа назад и не отпускать руку и мои поздравления с тобой и с кем то из них 1 днокла который написал а где ты сейчас в отпуске до конца недели как дома буду в Москве и Московской области сказали что у меня есть несколько во по поводу я тоже не помню как мы познакомились с вами встретиться и обсудить все детали и узлы машин и оборудования для производства и потребления и в случае если вы не будете получать эти Эл я не могу найти ваш номер телефона и мы все равно не могу найти ваш номер телефона и мы все равно не могу найти ваш номер телефона и мы все в порядке с уважением Сергей отправлено на гитаре и в любой момент могут наорать не знаю что это за песня группы colpurnia я тебя не было я лежал в больнице и я написал в предыдущем варианте я не могу понять как мы познакомились в я тоже не в этом году я тебя не было я лежал в больнице и не только в понедельник как все хорошо что вы все равно

4,4(16 оценок)
Ответ:
rootme
rootme
17.10.2021

Решение

Пусть ABCDA1B1C1D1 – данная призма, основания ABCD и A1B1C1D1 которой – ромбы со стороной 2, причём  DAB = 30o и AA1 = BB1 = CC1 = DD1 = 1 . Если DF – высота ромба ABCD , опущенная на сторону AB , то по теореме о трёх перпендикулярах D1F  AB , поэтому DFD1 – линейный угол двугранного угла между плоскостями основания ABCD и диагонального сечения AD1C1B . Так как DF = AD sin 30o = 1 , то tg  DFD1 =  = 1 . Поэтому  DFD1 = 45o < 60o . Значит, данная в условии секущая плоскость пересекает рёбра A1D1 и B1C1 . Обозначим через M и N соответствующие точки пересечения. Поскольку плоскости оснований параллелепипеда параллельны, а также параллельны плоскости противоположных боковых граней, то четырёхугольник AMNB – параллелограмм. Пусть MP – перпендикуляр, опущенный из точки M на плоскость основания ABCD . Поскольку плоскости AA1D1D и ABCD перпендикулярны, точка P лежит на их прямой пересечения AD . Если MQ – высота параллелограмма AMNB , опущенная на сторону AB , то по теореме о трёх перпендикулярах PQ  AB , поэтому MQP – линейный угол двугранного угла между плоскостями AMNB и ABCD . По условию задачи  MQP = 60o . Значит,

MQ =  =  = .

Следовательно,

SAMNB = AB· MQ = 2·  = .

Объяснение:

4,6(27 оценок)
Это интересно:
Новые ответы от MOGZ: Геометрия
logo
Вход Регистрация
Что ты хочешь узнать?
Спроси Mozg
Открыть лучший ответ