М
Молодежь
К
Компьютеры-и-электроника
Д
Дом-и-сад
С
Стиль-и-уход-за-собой
П
Праздники-и-традиции
Т
Транспорт
П
Путешествия
С
Семейная-жизнь
Ф
Философия-и-религия
Б
Без категории
М
Мир-работы
Х
Хобби-и-рукоделие
И
Искусство-и-развлечения
В
Взаимоотношения
З
Здоровье
К
Кулинария-и-гостеприимство
Ф
Финансы-и-бизнес
П
Питомцы-и-животные
О
Образование
О
Образование-и-коммуникации
nikolayAK
nikolayAK
05.08.2020 13:18 •  Геометрия

Найдите площадь равностороннего треугольника если: а) сторона треугольника = в б) высота треугольника = 3

👇
Ответ:
makarova06
makarova06
05.08.2020
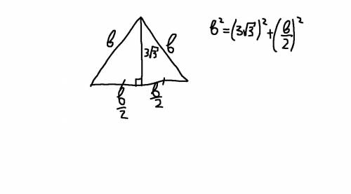
Площадь для равностороннего треугольника рассчитывается по формуле 
S=(b^2*√3')/4, где b-сторона треу-ка
Имеем высоту 3√3'. По т. Пифагора найдём b. 
b^2=(3√3)^2+a^2/4
(3b^2)/4=27
b^2=36
b=6, откуда S=36√3/4=9√3

Найдите площадь равностороннего треугольника если: а) сторона треугольника = в б) высота треугольник
4,5(14 оценок)
Открыть все ответы
Ответ:
andrew120885p09zsu
andrew120885p09zsu
05.08.2020

7см

Объяснение:

Если прямая перпендикулярна к плоскости, то она перпендикулярна к каждой прямой в этой плоскости, поэтому все треугольники AOK, BOK, COK и DOK с прямым углом.

К тому же они все одинаковы, так как имеют общий катет OK, диагонали квадрата также одинаковы и делятся в точке пересечения пополам OA=OB=OC=OD.

Значит, KA=KB=KC=KD, поэтому необходимо рассчитать только одно расстояние.

Проведём расчёты в треугольнике AOK. Если сторона квадрата равна 9 см, то диагональ квадрата равна 92√ см. AO равно половине диагонали.

По теореме Пифагора рассчитаем KA:

KA=(3)2+(92√2)2−−−−−−−−−−−−−−√≈ 7 см

4,8(86 оценок)
Ответ:
Желейка7
Желейка7
05.08.2020

Расстояние от точки до прямой – это длина перпендикуляра, проведенного из данной точки к данной прямой. В правильном шестиугольнике прямая АС перпендикулярна плоскости СС1D1D. Проведем прямую СН перпендикулярно прямой С1D. Точка Н - середина диагонали квадрата СС1D1D. Значит расстояние от точки А до прямой С1D равно отрезку АН, перпендикулярному к С1D.

По Пифагору АН=√(АС²+СН²). АС=√3 (короткая диагональ правильного шестиугольника со стороной =1). СН=√2/2 (половина диагонали квадрата 1х1).

Следовательно, АН=√(3+(2/4)) = √14/2.

ответ: √14/2.

4,8(16 оценок)
Это интересно:
Новые ответы от MOGZ: Геометрия
logo
Вход Регистрация
Что ты хочешь узнать?
Спроси Mozg
Открыть лучший ответ