М
Молодежь
К
Компьютеры-и-электроника
Д
Дом-и-сад
С
Стиль-и-уход-за-собой
П
Праздники-и-традиции
Т
Транспорт
П
Путешествия
С
Семейная-жизнь
Ф
Философия-и-религия
Б
Без категории
М
Мир-работы
Х
Хобби-и-рукоделие
И
Искусство-и-развлечения
В
Взаимоотношения
З
Здоровье
К
Кулинария-и-гостеприимство
Ф
Финансы-и-бизнес
П
Питомцы-и-животные
О
Образование
О
Образование-и-коммуникации
110206ma
110206ma
17.03.2023 22:57 •  Геометрия

Впрямоугольном треугольнике авс с гипотенузой ав угол в равен 30°, ас + ав = 12 см. найдите длину гипотенузы треугольника.

👇
Ответ:
PatiFon4ik
PatiFon4ik
17.03.2023
В прямоугольно тр-ке катет, лежащий напротив угла в 30° равен половине гипотенузы. АС=АВ/2.
АС+АВ=12
АВ/2+АВ=12
3АВ/2=12
АВ=8 см - это ответ.
4,7(25 оценок)
Ответ:
Yrbаn
Yrbаn
17.03.2023
Дано:

Δ АВС - прямоугольный.
∠В = 30°
АС - противолежащий катет
ВС - прилежащий катет
АВ - гипотенуза
АС+АВ = 12
_____________________

АВ - ?

Решение.

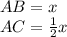
Воспользуемся случаем, когда катет, лежащий напротив острого угла в 30° равен половине гипотенузы ⇒

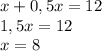
AB =x\\
AC= \frac{1}{2}x

По условию АС+АВ = 12

Решим уравнение:

x+0,5 x=12\\
1,5x=12\\
x=8

Гипотенуза АВ  равна 8 см.

ответ: 8 см
4,7(47 оценок)
Открыть все ответы
Ответ:
7432999
7432999
17.03.2023
Так как по условию xm+yn=5n, тоxm =(5-y)n
если x не равно 0, то разделив левую и правую части уравнения на x, получим
m =((5-y)/x) n, где ((5-y)/x) какое-то число.

По условию коллинеарности:Два вектора a и b коллинеарны, если существует число не равное нулю n такое, что a = n · b
Следовательно, если a и b не коллинеарны то такого числа не существует.
А в нашем примере такое число есть (при x не равном 0).
Следовательно если x не равно 0, то векторы коллинеарны.
А так как по условию они не коллинеарны, то x = 0. Тогда и y = 0.
ответ: x = 0 и y = 0
4,6(88 оценок)
Ответ:
Katiadimova3
Katiadimova3
17.03.2023
По первому признаку подобия треугольников имеем, что данные равнобедр.треуг. подобны. Коэффициент их подобия равен как отношению соотв.сторон, так и отношению периметров. Найдем боковые стороны первого треугольника. Высота к основанию является также медианой, значит по теореме Пифагора боковая сторона равна кореньиз(64+36)=10. Периметр первого треугольника равен 10+10+16=36. Коэффициент подобия k=54/36=3/2=1,5. Значит боковые стороны второго равнобедр.треугольника равны 10*1,5=15 см, а основание равно 16*1,5=24 см.
4,8(22 оценок)
Это интересно:
Новые ответы от MOGZ: Геометрия
logo
Вход Регистрация
Что ты хочешь узнать?
Спроси Mozg
Открыть лучший ответ