М
Молодежь
К
Компьютеры-и-электроника
Д
Дом-и-сад
С
Стиль-и-уход-за-собой
П
Праздники-и-традиции
Т
Транспорт
П
Путешествия
С
Семейная-жизнь
Ф
Философия-и-религия
Б
Без категории
М
Мир-работы
Х
Хобби-и-рукоделие
И
Искусство-и-развлечения
В
Взаимоотношения
З
Здоровье
К
Кулинария-и-гостеприимство
Ф
Финансы-и-бизнес
П
Питомцы-и-животные
О
Образование
О
Образование-и-коммуникации
petranikeev
petranikeev
23.03.2020 23:27 •  Геометрия

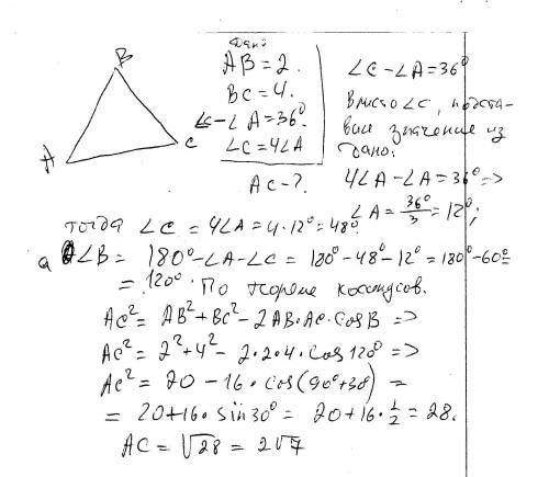
Найти сторону ac треугольника abc,если известно,что ab = 2,bc=4,

👇
Ответ:
никто271
никто271
23.03.2020
Решение в скане...........

Найти сторону ac треугольника abc,если известно,что ab = 2,bc=4,
4,7(37 оценок)
Открыть все ответы
Ответ:
anyapletneva0
anyapletneva0
23.03.2020

Прямая параллельна плоскости, если не имеет с ней общих точек. Прямая а не может пересекаться с прямой б, т.к. в противном случае будет пересекать и плоскость δ. 

Прямые а и б могут быть параллельны или быть скрещивающимися. 

====

а)Средняя линия ОР треугольника ВМС параллельна ВС ( по определению). ВС параллельна АD по условию.  Если одна из двух параллельных прямых параллельна третьей, то они параллельны. ⇒

ОР║ АD

Средняя линия КТ треугольника АМD параллельна AD ⇒ КТ ║ ОР. Доказано. 

б) Средняя линия трапеции равна полусумме оснований.⇒

АD+ВС=2•16=32 см

Примем коэффициент отношения оснований трапеции равным х. 

Тогда 5х+3х=32 ⇒

8х=32 см

х=4 см

АD=20 ⇒ KT=20:2=10 см

BC=12 ⇒ OP=12:2=6 см


1.прямая а параллельна плоскости дельта, а прямая б лежит в плоскости дельта.определите: могут ли пр
4,5(90 оценок)
Ответ:
VaryaStar55
VaryaStar55
23.03.2020

Из условия следует, что сечение параллелепипеда проходящее через его диагональ. боковое ребро (высоту параллелепипеда) и диагональ основания - прямоугольный треугольник с углом 45°, так как боковое ребро перпендикулярно основанию, а диагональ основания - проекция диагонали параллелепипеда на основание.

Так как ∠45° ⇒Δравнобедренный, где диагональ параллелепипеда его гипотенуза, а катеты боковое ребро и диагональ основания (квадрата), которая равна а=√9²+9²=9√2

Теперь найдем диагональ параллелепипеда d=√2*9²+2*9²=18

ответ: 18 см

4,7(71 оценок)
Это интересно:
Новые ответы от MOGZ: Геометрия
logo
Вход Регистрация
Что ты хочешь узнать?
Спроси Mozg
Открыть лучший ответ