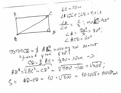
Я знаю первое))
Дано:тр-к АВС,АВ=ВС=17,ВД-высота_cosA=8/17 Найти:ВД Pешение: 1)cosA=AD/AB=>8/17=AD/17=>AD=8. 2)BD²=AB²-AD²;BD²=17²-8²=(17-8)(17+8)=9*25=>BD=3*5=15.
А второе только без дано((
Пусть высота проведенная к большей стороне(АД) - ВН. Площадь параллелограмма равна произведению основания на высоту проведенную к этому основнию, значит S=BH*AD=14*4=56(см)^2-площадь параллелограмма.
Обозначим вторую высоту проведенную к стороне СД, как АК, тогда по формуле площади парллелограмма имеем:
S=AK*CD, отсюда АК=S/CD=56/8=7(см).
ответ: 56см^2, 7см.
Дано: ABCD - трапеция
AM = MB
CP = PD
BC // MP // AD
MP = 3
BC = 5
Найти: AD
MP - средняя линия трапеции ABCD ( по определению средней линии: отрезок, соединяющий середины боковых сторон трапеции, называется средней линией этой трапеции )
Длинна средней линии находится по формуле ⇒ 

ответ: AD = 1
P.s - мне кажется, правильнее было бы верхнее основанее назвать AD, а нижнее BC ( так как верхнее основанее не может быть больше средней линии, а нижнее не может быть меньше)
⇒ фото чтобы вы поняли, что я имею ввиду