М
Молодежь
К
Компьютеры-и-электроника
Д
Дом-и-сад
С
Стиль-и-уход-за-собой
П
Праздники-и-традиции
Т
Транспорт
П
Путешествия
С
Семейная-жизнь
Ф
Философия-и-религия
Б
Без категории
М
Мир-работы
Х
Хобби-и-рукоделие
И
Искусство-и-развлечения
В
Взаимоотношения
З
Здоровье
К
Кулинария-и-гостеприимство
Ф
Финансы-и-бизнес
П
Питомцы-и-животные
О
Образование
О
Образование-и-коммуникации
Karinanika1
Karinanika1
24.12.2020 22:58 •  Геометрия

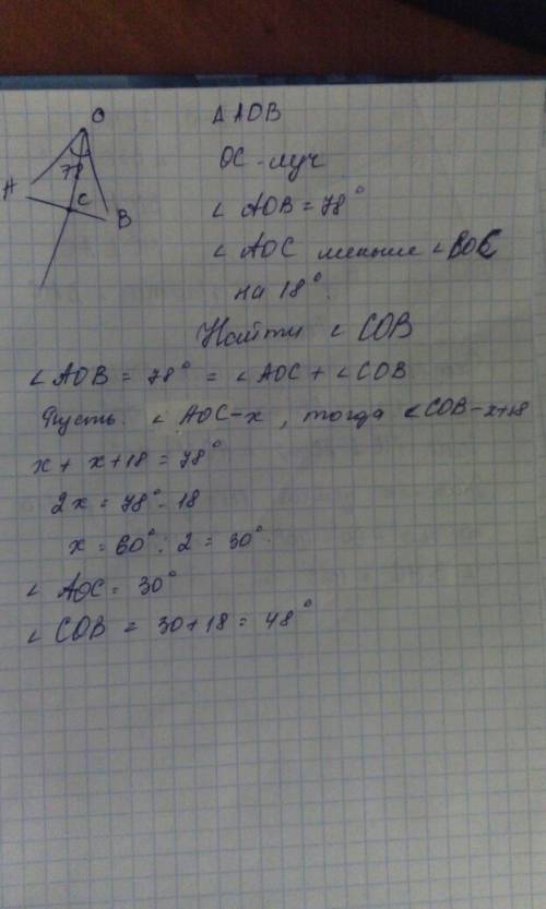
Луч oc делит угол аов на два угла найдите угол cob если угол aob 78 градусов а угол aoc на 18 градусов меньше угла boc

👇
Ответ:
Все решение на рисунке
Луч oc делит угол аов на два угла найдите угол cob если угол aob 78 градусов а угол aoc на 18 градус
4,5(33 оценок)
Открыть все ответы
Ответ:
dickosh97
dickosh97
24.12.2020

Подобные треугольники - треугольники, углы которых соответственно равны, а стороны одного пропорциональны сходственным сторонам другого треугольника. То есть и площади также должны быть пропорциональны.

Посчитаем площадь одного треугольника: 2+5+6=13 см. Разделим площадь большого треугольника (26 см) на площадь маленького (13 см), получится 2. Это означает, что стороны большого треугольника в 2 раза больше сторон маленького. Рассчитаем стороны большого треугольника: 2*2=4 см, 5*2=10 см, 6*2=12 см. Проверим правильно ли мы посчитали стороны: 4+10+12=26 см - периметр. Верно.

ответ: большая сторона подобного треугольника - 12 см.

4,8(78 оценок)
Ответ:
1941108
1941108
24.12.2020

1) Расстояние от оси цилиндра до плоскости - длина перпендикуляра, опущенного из любой точки оси на данную плоскость, на рисунке: ОН =8 см.

2)Сечение - прямоугольник СС'BB'  и его площадь  равна BC' *CC' = 60 cм,

  учитывая, что BC' = 5 см , то CC' = 12 см.

3) V =   S осн.* H  

   S осн = pi* R^2

   R- ? Из тр-ка OBB' - равнобедр. прямоуг.: OH - высота, медиана, тогда BH =12:2=6

           Из тр-ка OBH' -  прямоуг.: R = OB= корень из( OH^2 +BH^2)=

= корень из (8^2+6^2) = 10 см.

Таким образом V =  pi* 10^2*5 =500*pi (см ^3)  

Объяснение:

4,8(74 оценок)
Новые ответы от MOGZ: Геометрия
logo
Вход Регистрация
Что ты хочешь узнать?
Спроси Mozg
Открыть лучший ответ