М
Молодежь
К
Компьютеры-и-электроника
Д
Дом-и-сад
С
Стиль-и-уход-за-собой
П
Праздники-и-традиции
Т
Транспорт
П
Путешествия
С
Семейная-жизнь
Ф
Философия-и-религия
Б
Без категории
М
Мир-работы
Х
Хобби-и-рукоделие
И
Искусство-и-развлечения
В
Взаимоотношения
З
Здоровье
К
Кулинария-и-гостеприимство
Ф
Финансы-и-бизнес
П
Питомцы-и-животные
О
Образование
О
Образование-и-коммуникации
maksi0071
maksi0071
19.05.2023 05:50 •  Геометрия

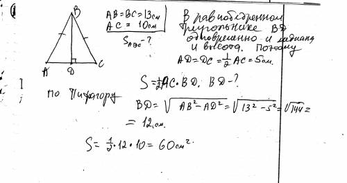
1. найдите сторону ромба если его диагонали равны 12 см и 16см 2 найдите площадь равнобедренного треугольника, если его основание равно 10 см, а боковая сторона равна 13 см

👇
Ответ:
ajdanayun
ajdanayun
19.05.2023
Решение в скане.............

1. найдите сторону ромба если его диагонали равны 12 см и 16см 2 найдите площадь равнобедренного тре
1. найдите сторону ромба если его диагонали равны 12 см и 16см 2 найдите площадь равнобедренного тре
4,5(36 оценок)
Открыть все ответы
Ответ:
skotnikova04
skotnikova04
19.05.2023
Смотри рисунок.
Пусть угол OCK=2х, тогда угол OCB равен х. Их сумма 180градусов, т.к. они смежные.
х+2х=180
3х=180
х=60 - это угол OCB.
Рассмотрим треугольник ОВС - он прямоугольный (угол ВОС=90градусов, угол ОСВ = 60 градусов) значит угол ОВС = 180-90-60=30 градусов 
Запишем для угла  OCB:
cos 60 = BC/AC   поскольку по условию AC=100, имеем
cos 60= BC/100⇒ BC = 100× cos 60 
cos 60 - это табличная величина = 1/2
BC= 100×1/2=50
Запишем для угла OBC:
sin 30 = OC/BC ⇒ OC= BC × sin 30= 50 × 1/2=25
sin 30 - это табличная величина = 1/ 2
ответ: OC=25

Внешний угол прямоугольного треугольника в 2 раза больше угла, смежного с ним. найдите меньший отрез
4,7(38 оценок)
Ответ:
Kstg
Kstg
19.05.2023
1) Расчет длин сторон:
 АВ = √((Хв-Ха)²+(Ув-Уа)²) = √40 = 6.32455532,
 BC = √((Хc-Хв)²+(Ус-Ув)²) = √40 =  6.32455532,
 AC = √((Хc-Хa)²+(Ус-Уa)²) = √16 = 4. 
Из этого расчёта видно, что треугольник равнобедренный.
Периметр равен 16,64911064.

2) МЕДИАНЫ ТРЕУГОЛЬНИКА Медиана АM1 из вершины A:   Координаты M1(3; -1)   Длина AM1 = 4.24264068711928 Медиана BM2 из вершины B:   Координаты M2(2; 2)   Длина BM2 = 6 Медиана CM3 из вершины C:   Координаты M3(1; -1)   Длина CM3 = 4.24264068711928

Длины средних линий:
А₁В₁ = АВ/2 = 3.16227766,
В₁С₁ = ВС/2 = 3.16227766,
А₁С₁ = АС/2 = 2.
4,7(83 оценок)
Новые ответы от MOGZ: Геометрия
logo
Вход Регистрация
Что ты хочешь узнать?
Спроси Mozg
Открыть лучший ответ